[路飞]_反转链表 II

84 阅读1分钟

题目路径

题目描述

给你单链表的头指针 head 和两个整数 left 和 right ,其中 left <= right 。请你反转从位置 left 到位置 right 的链表节点,返回 反转后的链表 。

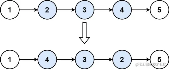
示例 1: image.png

输入: head = [1,2,3,4,5], left = 2, right = 4
输出: [1,4,3,2,5]

示例 2:

输入: head = [5], left = 1, right = 1
输出: [5]

代码1

var reverseN = function(head, n){
    if(n == 1) return head;
    let tail = head.next, p = reverseN(head.next, n - 1);
    head.next = tail.next;
    tail.next = head;
    return p;
}
var reverseBetween = function(head, m, n) {
    let ret = new ListNode(0, head), p = ret;
    let cnt = n - m + 1;
    while(--m) p = p.next;
    p.next = reverseN(p.next, cnt);
    return ret.next;
};

代码2

var reverseBetween = function(head, left, right) { 
    if(!head) return null; 
    let ret = new ListNode(-1, head), pre = ret, cnt = right - left + 1; 
    while(--left){ 
        pre = pre.next; 
    } 
    pre.next = reverse(pre.next, cnt); 
    return ret.next; 
}; 
var reverse = function(head, n){ 
    let pre = null, cur = head; 
    while(n--){ 
        [cur.next, pre,cur] = [pre,cur,cur.next]; 
    } 
    head.next = cur; 
    return pre; 
}