【力扣】链表相交

108 阅读3分钟

「这是我参与2022首次更文挑战的第14天,活动详情查看:2022首次更文挑战」。

面试题 链表相交

题目描述

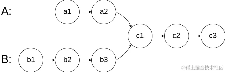
给你两个单链表的头节点headAheadB,请你找出并返回两个单链表相交的起始节点。如果两个链表没有交点,返回null
图示两个链表在节点c1开始相交:

5a01ade5a045bd5807f7c32af2b99ef.png
题目数据保证整个链式结构不存在环。
注意,函数返回结果后,链表必须保持其原始结构
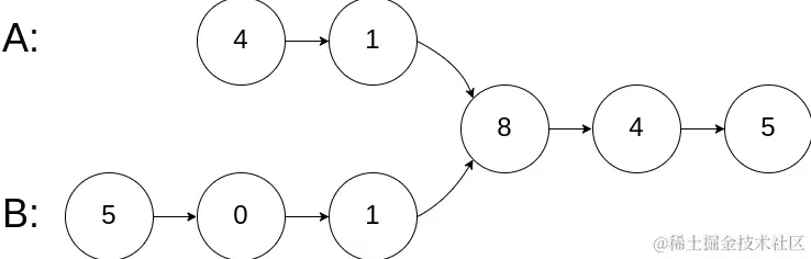
示例1:

image.png

输入:intersectVal=8,listA=[4,1,8,4,5],listB=[5,0,1,8,4,5],skipA=2,skipB=3  
输出:Intersected at '8'  
解释:相交节点的值为8(注意,如果两个链表相交则不能为0)。  
从各自的表头开始算起,链表A[4,1,8,4,5],链表B[5,0,1,8,4,5]。  
在A中,相交节点前有2个节点;在B中,相交节点前有3个节点。

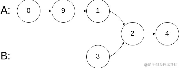
示例2:

image.png

输入:intersectVal = 2, listA = [0,9,1,2,4], listB = [3,2,4], skipA = 3, skipB = 1
输出:Intersected at '2'
解释:相交节点的值为 2 (注意,如果两个链表相交则不能为 0)。
从各自的表头开始算起,链表 A[0,9,1,2,4],链表 B[3,2,4]。
在 A 中,相交节点前有 3 个节点;在 B 中,相交节点前有 1 个节点。

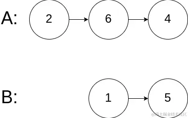
示例3:

image.png

输入:intersectVal = 0, listA = [2,6,4], listB = [1,5], skipA = 3, skipB = 2
输出:null
解释:从各自的表头开始算起,链表 A[2,6,4],链表 B[1,5]。
由于这两个链表不相交,所以 intersectVal 必须为 0,而 skipA 和 skipB 可以是任意值。
这两个链表不相交,因此返回 null 。

解析

这道题其实是求两个链表相交的结点

  1. 先定义两个指针指向两个链表的头结点,curA指向链表A的头结点,curB指向链表B的头结点,初始化两个链表的长度都为0
  2. 在让curA为最长链表的头,lenA为其长度
  3. 求两个链表的长度差,然后curA移动到和curB末尾对齐的位置
  4. 比较curA与curB是否相同,如果相同则说明找到交点,如果不相同curA和curB都向后移动

代码

public class Solution {
    public ListNode getIntersectionNode(ListNode headA, ListNode headB) {
        //定义指针curA指向链表A的头结点
        ListNode curA=headA;
        //定义指针curB指向链表B的头结点
        ListNode curB=headB;
        //初始化链表A的长度,链表B的长度
        int lenA=0,lenB=0;
        //求链表A的长度
        while(curA!=null){
            lenA++;
            curA=curA.next;
        }
        //求链表B的长度
        while(curB!=null){
            lenB++;
            curB=curB.next;
        }
        curA=headA;
        curB=headB;
        //让curA为最长链表的头,lenA为其长度
        if(lenA<lenB){
            int tempLen=lenA;
            lenA=lenB;
            lenB=tempLen;
            ListNode tempNode=curA;
            curA=curB;
            curB=tempNode;
        }
        //求两个链表的长度差
        int dis=lenA-lenB;
        while(dis-->0){
            //curA移动到和curB末尾对齐的位置
            curA=curA.next;
        }
        while(curA!=null){
            //比较curA与curB是否相同,如果相同则说明找到交点
            //如果不相同curA和curB都向后移动
            if(curA==curB){
                return curA;
            }
            curA=curA.next;
            curB=curB.next;
        }
         return null;
    }   
}