「前端刷题」103. 二叉树的锯齿形层序遍历

125 阅读1分钟

「这是我参与2022首次更文挑战的第11天,活动详情查看:2022首次更文挑战」。

题目

链接:leetcode-cn.com/problems/bi… 给你二叉树的根节点 root ,返回其节点值的 锯齿形层序遍历 。(即先从左往右,再从右往左进行下一层遍历,以此类推,层与层之间交替进行)。

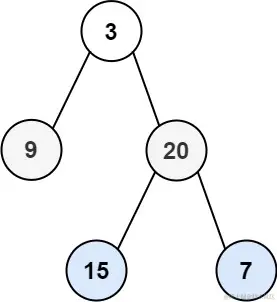
示例 1:

**输入:**root = [3,9,20,null,null,15,7] 输出:[[3],[20,9],[15,7]]

示例 2:

**输入:**root = [1] 输出:[[1]]

示例 3:

**输入:**root = [] 输出:[]

提示:

  • 树中节点数目在范围 [0, 2000]
  • -100 <= Node.val <= 100

思路

典型广度优先题目
广度优先通过队列处理 【深度优先用栈】

  • 将一层记录在数组中 并记录数组长度
  • 找下一行所有数据
  • 将数组首位弹出 将首位的左右节点追在数组后
  • 按照记录的数组长度 将上层的结点全部弹出后 此时数组只剩下下一行结点了 此时就完成了一层的遍历
    **类似上题 **
    与上题区别 每层输出反向 加个条件即可

依旧附上广度优先公式

var arr=[]  //用来记录行节点 每行都存与arr数组中
 arr.push(root)
 while(arr.length>0){
   //你的操作 
   //本题是记录末位

   var len=arr.length
   while(len>0){
     var now=arr.shift()
     if(now.left!=null)
       arr.push(now.left)
     if(now.right!=null)
       arr.push(now.right)
     len--
   }
 }

代码

/**
 * Definition for a binary tree node.
 * function TreeNode(val) {
 *     this.val = val;
 *     this.left = this.right = null;
 * }
 */
/**
 * @param {TreeNode} root
 * @return {number[][]}
 */
var zigzagLevelOrder = function(root) {
  if(root==null)
    return []
  var arr=[root]
  var res=[]
  var go=true
  while(arr.length>0){
    var n=arr.length
    var now=[]
    if(go){
      while(n-->0){
        var node=arr.shift()
        now.push(node.val)
        if(node.left!=null)arr.push(node.left)
        if(node.right!=null)arr.push(node.right)
      }
      res.push(now)
    }else{
      while(n-->0){
        var node=arr.pop()
        now.push(node.val)
        if(node.right!=null)arr.unshift(node.right)
        if(node.left!=null)arr.unshift(node.left)
      }
      res.push(now)
    }
    go=!go
  }
  return res
};

其他思路

/**
 * Definition for a binary tree node.
 * function TreeNode(val, left, right) {
 *     this.val = (val===undefined ? 0 : val)
 *     this.left = (left===undefined ? null : left)
 *     this.right = (right===undefined ? null : right)
 * }
 */
/**
 * @param {TreeNode} root
 * @return {number[][]}
 */
var zigzagLevelOrder = function(root) {
 if(!root){
    return []
   }
  let isOrderLeft = true
  let queue = [] // 队列
  let level = []
  queue.push(root) // 开始搜索
  while(queue.length){
    let size = queue.length; // 这次循环的队列size
    let curLevel = [];
    for(let i=0;i<size;i++){
      let cur = queue.shift();
      if(isOrderLeft){
         curLevel.push(cur.val);
      } else{
          curLevel.unshift(cur.val);
      }
       if(cur.left){
           queue.push(cur.left);
         }
         if(cur.right){
            queue.push(cur.right);
         }
    }
    level.push(curLevel);
    isOrderLeft=!isOrderLeft;
  }
  return level;
};