每日算法&面试题,大厂特训二十八天——第十九天(树)

121 阅读2分钟

「这是我参与2022首次更文挑战的第11天,活动详情查看:2022首次更文挑战」。

导读

在这里插入图片描述

肥友们为了更好的去帮助新同学适应算法和面试题,最近我们开始进行专项突击一步一步来。上一期我们完成了动态规划二十一天现在我们进行下一项对各类算法进行二十八天的一个小总结。还在等什么快来一起肥学进行二十八天挑战吧!!

算法特训二十八天

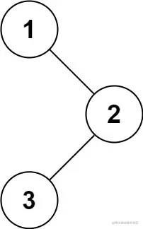
给你二叉树的根节点 root ,返回它节点值的 前序 遍历。

在这里插入图片描述

输入:root = [1,null,2,3]
输出:[1,2,3]
示例 2:

输入:root = []
输出:[]
示例 3:

输入:root = [1]
输出:[1]

思路:递归

class Solution {
    public List<Integer> preorderTraversal(TreeNode root) {
        List<Integer> res = new ArrayList<Integer>();
        preorder(root, res);
        return res;
    }

    public void preorder(TreeNode root, List<Integer> res) {
        if (root == null) {
            return;
        }
        res.add(root.val);
        preorder(root.left, res);
        preorder(root.right, res);
    }
}



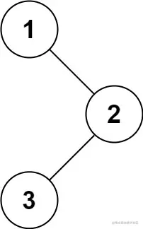
给定一个二叉树的根节点 root ,返回它的 中序 遍历。

在这里插入图片描述

输入:root = [1,null,2,3]
输出:[1,3,2]
示例 2:

输入:root = []
输出:[]
示例 3:

输入:root = [1]
输出:[1]

思路:递归

初始部分:
/**
 * Definition for a binary tree node.
 * public class TreeNode {
 *     int val;
 *     TreeNode left;
 *     TreeNode right;
 *     TreeNode() {}
 *     TreeNode(int val) { this.val = val; }
 *     TreeNode(int val, TreeNode left, TreeNode right) {
 *         this.val = val;
 *         this.left = left;
 *         this.right = right;
 *     }
 * }
 */

解题部分:
class Solution {
    public List<Integer> inorderTraversal(TreeNode root) {
        List<Integer> res = new ArrayList<Integer>();
        inorder(root, res);
        return res;
    }

    public void inorder(TreeNode root, List<Integer> res) {
        if (root == null) {
            return;
        }
        inorder(root.left, res);
        res.add(root.val);
        inorder(root.right, res);
    }
}


给你一棵二叉树的根节点 root ,返回其节点值的 后序遍历 。

在这里插入图片描述

输入:root = [1,null,2,3]
输出:[3,2,1]
示例 2:

输入:root = []
输出:[]
示例 3:

输入:root = [1]
输出:[1]
初始化:
/**
 * Definition for a binary tree node.
 * public class TreeNode {
 *     int val;
 *     TreeNode left;
 *     TreeNode right;
 *     TreeNode() {}
 *     TreeNode(int val) { this.val = val; }
 *     TreeNode(int val, TreeNode left, TreeNode right) {
 *         this.val = val;
 *         this.left = left;
 *         this.right = right;
 *     }
 * }
 */
解题:
class Solution {
    public List<Integer> postorderTraversal(TreeNode root) {
        List<Integer> res = new ArrayList<Integer>();
        postorder(root, res);
        return res;
    }

    public void postorder(TreeNode root, List<Integer> res) {
        if (root == null) {
            return;
        }
        postorder(root.left, res);
        postorder(root.right, res);
        res.add(root.val);
    }
}


面试题

TCP/IP 协议涉及哪几层架构?

应用层 传输层 互连网络层 网络接口层。

在这里插入图片描述 网络OSI 七层模型 在这里插入图片描述

在这里插入图片描述

描述下 TCP 连接 4 次挥手的过程?为什么要 4 次挥手?

因为 TCP 是全双工,每个方向都必须进行单独关闭。关闭连接时,当 Server 端收到 FIN
报文时,很可能并不会立即关闭 SOCKET,所以只能先回复一个 ACK 报文,告诉 Client
端,”你发的 FIN 报文我收到了”。只有等到 Server 端所有的报文都发送完了,我才能发
送 FIN 报文,因此不能一起发送。故需要四步握手