「这是我参与2022首次更文挑战的第12天,活动详情查看:2022首次更文挑战」。
@TOC

前言
Hello!小伙伴!
非常感谢您阅读海轰的文章,倘若文中有错误的地方,欢迎您指出~
自我介绍 ଘ(੭ˊᵕˋ)੭
昵称:海轰
标签:程序猿|C++选手|学生
简介:因C语言结识编程,随后转入计算机专业,有幸拿过一些国奖、省奖...已保研。目前正在学习C++/Linux/Python
学习经验:扎实基础 + 多做笔记 + 多敲代码 + 多思考 + 学好英语!
机器学习小白阶段
文章仅作为自己的学习笔记 用于知识体系建立以及复习
知其然 知其所以然!
往期文章
【机器学习|数学基础】Mathematics for Machine Learning系列之矩阵理论(1):集合与映射
【机器学习|数学基础】Mathematics for Machine Learning系列之矩阵理论(2):线性空间定义及其性质
【机器学习|数学基础】Mathematics for Machine Learning系列之矩阵理论(3):线性空间的基与坐标
【机器学习|数学基础】Mathematics for Machine Learning系列之矩阵理论(4):基变换与坐标变换
【机器学习|数学基础】Mathematics for Machine Learning系列之矩阵理论(5):线性子空间
【机器学习|数学基础】Mathematics for Machine Learning系列之矩阵理论(6):子空间的交与和
【机器学习|数学基础】Mathematics for Machine Learning系列之矩阵理论(7):欧氏空间
【机器学习|数学基础】Mathematics for Machine Learning系列之矩阵理论(8):标准正交基与Gram-Schmidt过程
【机器学习|数学基础】Mathematics for Machine Learning系列之矩阵理论(9):正交补与投影定理
【机器学习|数学基础】Mathematics for Machine Learning系列之矩阵理论(10):线性变换定义
【机器学习|数学基础】Mathematics for Machine Learning系列之矩阵理论(11):线性变换的矩阵表示
【机器学习|数学基础】Mathematics for Machine Learning系列之矩阵理论(12):相似形理论
【机器学习|数学基础】Mathematics for Machine Learning系列之矩阵理论(13):Hamliton-Cayley定理、最小多项式
【机器学习|数学基础】Mathematics for Machine Learning系列之矩阵理论(14):向量范数及其性质
【机器学习|数学基础】Mathematics for Machine Learning系列之矩阵理论(15):矩阵的范数
5.1 向量和矩阵的极限
5.1.1 向量序列极限
定义5.1
设给定n维向量空间Cn中的向量序列{χ(k)},其中
χ(k)=(ξ1(k),ξ2(k),...,ξn(k))k=1,2,3,...
如果每一个分量ξi(k)当k→∞时,都有极限ξi,即
limk→∞ξi(k)=ξii=1,2,...,n
记χ=(ξ1,ξ2,...,ξn)
则称向量序列{χ(k)}有极限或称{χ(k)}收敛于χ
简称{χ(k)}收敛,记为
limk→∞χ(k)=χ或χ(k)→χ
向量序列{χ(k)}含有很多项
简单的理解:由χ(1)、χ(2)、χ(3)...χ(k)组成
然后随着k的增大,逐渐趋近于向量χ
由向量序列极限定义易知,向量序列{χ(k)}收敛于χ的充分必要条件
- {χ(k)−χ}收敛于零向量
或者是
- 对任意一种向量范数∣∣⋅∣∣,序列∣∣{χ(k)−χ}∣∣收敛于零
5.1.2 方阵序列极限
定义5.2
对于复方阵序列{Ak},其中
a_{11}^{(k)} & a_{12^{(k)}} &... & a_{1n}^{(k)}\\
a_{21}^{(k)} & a_{22}^{(k)} & ... &a_{2n}^{(k)}\\
. & . & & . \\
. & . & & . \\
a_{n1}^{(k)} & a_{n2}^{(k)} &... & a_{nn}^{(k)}\\
\end{bmatrix}
若在k→∞时,n2个复数序列{aij(k)}都分别收敛于aij,即
limk→∞aij(k)=aij(i,j=1,2,...,n)
则称A是{Ak}在k→∞的极限,记作
limk→∞Ak=A
即
若k→∞时,{Ak}不收敛,则称方阵序列{Ak}是发散的
只要{Ak}中有一个元素aij(k)在k→∞不收敛,则{Ak}一定是不收敛的
只有{Ak}中所有元素aij(k)在k→∞都收敛,则{Ak}是收敛的
定理5.1.1
Cn×n中的矩阵序列{Ak}收敛于方阵A的充分必要条件是:对任意一种方阵范数∣∣⋅∣∣,序列{∣∣Ak−A∣∣}都收敛于0
{Ak}是矩阵序列,具体是A1,A2,A3,...,Ak
{∣∣Ak∣∣}是一般的数列,具体是∣∣A1∣∣,∣∣A2∣∣,...,∣∣Ak∣∣,因为∣∣Ak∣∣表示的只是一项,所以 {∣∣Ak∣∣}则是一般的数列
Cn×n中收敛的方阵序列的性质
(1)若limk→∞Ak=A,则对Cn×n中任意方阵范数∣∣⋅∣∣,∣∣Ak∣∣有界
(2)若limk→∞Ak=A,limk→∞Bk=B,且limk→∞ak=a,limk→∞bk=b,{ak},{bk}是数列,则
limk→∞(akAk+bkBk)=aA+bB
(3)若limk→∞Ak=A,limk→∞Bk=B,则
limk→∞AkBk=limk→∞Ak⋅limk→∞Bk=AB
(4)limk→∞Ak=A,且Ak−1及A−1存在,则
limk→∞Ak−1=A−1
Jordan块的正整数次幂
设
是t阶Jordan块,并记t阶矩阵
则有
J(λ0,t)=λ0E+H(E是t阶单位矩阵)
由于
及Ht=0,便有
Jk(λ0,t)=(λ0E+H)k

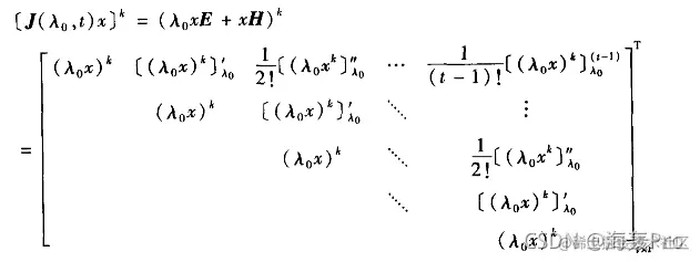
同理,对数值变量x,由
J(λ0,t)x=λ0xE+xH
可得

定理5.1.2
矩阵A∈Cn×n的方幂E,A,A2,...,Ak,...所构成的矩阵序列{Ak}收敛于零矩阵的充分必要条件是A的特征值的模都小于1
命题
设∣∣A∣∣a是相容于向量范数∣∣χ∣∣a的方阵范数,则ρ(A)≤∣∣A∣∣a
定理5.1.3
Ak→0的充分必要条件是至少存在一种方阵范数∣∣⋅∣∣,使∣∣A∣∣<1
结语
说明:
- 参考于 课本《矩阵理论》
- 配合书中概念讲解 结合了自己的一些理解及思考
文章仅作为学习笔记,记录从0到1的一个过程
希望对您有一点点帮助,如有错误欢迎小伙伴指正
