[路飞]_206. 反转链表

141 阅读1分钟

题目路径

题目描述

给你单链表的头节点 head ,请你反转链表,并返回反转后的链表。
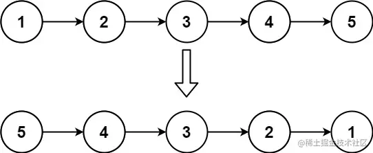
示例 1:

image.png

输入: head = [1,2,3,4,5]
输出: [5,4,3,2,1]

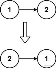
image.png

输入: head = [1,2]
输出: [2,1]

示例 3:

输入: head = []
输出: []

解题思路

  • 将链表翻转,可以先设置一个pre虚拟头节点,一个cur指向head,p指向head.next
  • 将cur指向pre,pre走到cur,cur走到next,p走到p.next

代码1

var reverseList = function(head){
    if(!head) return head;
    let pre = null, cur = head, p = head.next;
    while(cur){
        cur.next = pre;
        pre = cur;
        // 运算优先级
        (cur = next) && (p = p.next);
    }
    return pre;
}

代码2

var reverseList = function(head){
    if(!head || !head.next) return head;
    let tail = head.next, p = reverseList(head.next);
    head.next = tail.next;
    tail.next = head;
    return p;
}