拓端tecdat|R语言模拟ARCH过程模型分析时间序列平稳性、波动性

186 阅读4分钟

原文链接:tecdat.cn/?p=25007

原文出处:拓端数据部落公众号

在事物的发展过程中,常表现出复杂的波动情况,即时而波动的幅度较缓,而又时常出现波动集聚性(VolatilitY clustering),在风险研究中经常遇到这种情况。恩格尔(Engle)在1982年提出了用来描述方差波动的自回归条件异方差模型ARCH (Autoregressive conditional heteroskedasticity model )。并由博勒斯莱 文(Bollerslev, T., 1986)发展成为广义自回归条件异方 差GARCH (Generalized ARCH),后来又发展成为很多的特殊形式。

在AR(1)过程的背景下,我们花了一些时间来解释当接近于1时会发生什么。

  • 如果 过程是平稳的,
  • 如果 该过程是随机游走
  • 如果 这个过程会大幅波动

同样,随机游走是非常有趣的过程,具有令人费解的特性。例如,

作为 ,并且该过程将无限次穿过

x

轴……

我们仔细研究了 ARCH(1) 过程的性质,尤其是当 ,我们得到的结果可能令人费解。

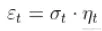
考虑一些 ARCH(1) 过程 ,具有高斯噪声,即

其中

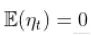
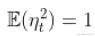
是一个 iid 序列 变量。这里 必须是正的。

回顾 由于 . 因此

,所以方差存在,并且只有当 , 在这种情况下

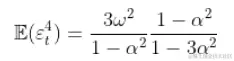
此外,如果 ,则可以得到第四矩,

. 现在,如果我们回到研究方差时获得的属性,如果 , 或者 ?

如果我们查看模拟,我们可以生成一个 ARCH(1) 过程 , 例如

> ea=rnorm> eson=rnorm> sga2=rep> for(t in 2:n){> plot

为了理解发生了什么,我们应该记住,我们好的是,必须在之间能够计算出的第二时刻。 但是,有可能有一个具有无限变异的平稳过程。

迭代

一次又一次地迭代……

其中

在这里,我们有一个正项的总和,我们可以使用所谓的 Cauchy rule: 定义

那么,如果 收敛。这里,

也可以写成

并且根据大数定律,因为我们这里有一个独立同分布项的总和,

因此,如果 , 然后 会有限制,当 取无穷大。

上面的条件可以写成

这就是所谓的 Lyapunov 系数。

方程

一个条件 .

在这种情况下 ,这个上界的数值是3.56。

> 1/exp(mean(log(rnorm(1e7)^2)))

在这种情况下 (),方差可能是无限的,但序列是平稳的。另一方面,如果 , 然后 几乎肯定会走向无穷大,因为 走向无穷大。

但是为了观察这种差异,我们需要大量的观察。例如,

,

我们很容易看出区别。我并不是说很容易看出上面的分布具有无限的方差,但仍然如此。

如果我们考虑对上述序列绘制希尔图,在正的尾部

> hil

或负的尾部

-epsilon

我们可以看到,尾部指数(严格来说)小于2(意味着2阶的时刻不存在)。

为什么它令人费解?也许是因为这里不是弱平稳(在意义上),而是强平稳。这不是通常的弱和强的关系方式。这可能就是为什么我们不称其为强平稳性,而称其为严格平稳性。

最受欢迎的见解

1.在python中使用lstm和pytorch进行时间序列预测

2.python中利用长短期记忆模型lstm进行时间序列预测分析

3.使用r语言进行时间序列(arima,指数平滑)分析

4.r语言多元copula-garch-模型时间序列预测

5.r语言copulas和金融时间序列案例

6.使用r语言随机波动模型sv处理时间序列中的随机波动

7.r语言时间序列tar阈值自回归模型

8.r语言k-shape时间序列聚类方法对股票价格时间序列聚类

9.python3用arima模型进行时间序列预测