☆打卡算法☆LeetCode 86、分隔链表 算法解析

167 阅读2分钟

这是我参与2022首次更文挑战的第9天,活动详情查看:2022首次更文挑战

推荐阅读

大家好,我是小魔龙,Unity3D软件工程师,VR、AR,虚拟仿真方向,不定时更新软件开发技巧,生活感悟,觉得有用记得一键三连哦。

一、题目

1、算法题目

“给定一个链表和特定值,对链表进行分割,使所有小于特定值的节点都出现在特定值节点之前。”

题目链接:

来源:力扣(LeetCode)

链接:86. 分隔链表 - 力扣(LeetCode) (leetcode-cn.com)

2、题目描述

给你一个链表的头节点 head 和一个特定值 x ,请你对链表进行分隔,使得所有 小于 x 的节点都出现在 大于或等于 x 的节点之前。

你应当 保留 两个分区中每个节点的初始相对位置。

image.png

示例 1:
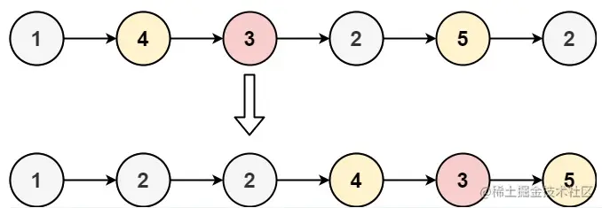
输入: head = [1,4,3,2,5,2], x = 3
输出:[1,2,2,4,3,5]
示例 2:
输入: head = [2,1], x = 2
输出:[1,2]

二、解题

1、思路分析

这道题只需要两个链表,一个链表存放特定值前的节点,一个链表存放特定值后的界面,在遍历完成后,将两个链表链接即可。

具体实现就是,用两个链表分别指向当前链表的尾结点,然后从前往后遍历,根据当前节点是否大于特定值来讲这个节点放入到不同的链表中。

2、代码实现

代码参考:

class Solution {
    public ListNode partition(ListNode head, int x) {
        ListNode small = new ListNode(0);
        ListNode smallHead = small;
        ListNode large = new ListNode(0);
        ListNode largeHead = large;
        while (head != null) {
            if (head.val < x) {
                small.next = head;
                small = small.next;
            } else {
                large.next = head;
                large = large.next;
            }
            head = head.next;
        }
        large.next = null;
        small.next = largeHead.next;
        return smallHead.next;
    }
}

image.png

3、时间复杂度

时间复杂度 : O(n)

其中n是链表的长度。

空间复杂度: O(1)

三、总结

对链表进行一次遍历,然后根据当前节点是否大于特定值来讲这个节点放入到特定链表下,最后合并链表。