[路飞]_142. 环形链表 II

75 阅读1分钟

题目地址

题目描述

给定一个链表,返回链表开始入环的第一个节点。 如果链表无环,则返回 null。

如果链表中有某个节点,可以通过连续跟踪 next 指针再次到达,则链表中存在环。 为了表示给定链表中的环,评测系统内部使用整数 pos 来表示链表尾连接到链表中的位置(索引从 0 开始)。如果 pos 是 -1,则在该链表中没有环。注意:pos 不作为参数进行传递,仅仅是为了标识链表的实际情况。

不允许修改 链表。

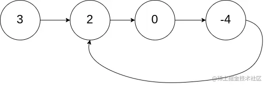
示例 1:

image.png

输入: head = [3,2,0,-4], pos = 1
输出: 返回索引为 1 的链表节点
解释: 链表中有一个环,其尾部连接到第二个节点。

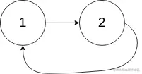
示例 2:

image.png

输入: head = [1,2], pos = 0
输出: 返回索引为 0 的链表节点
解释: 链表中有一个环,其尾部连接到第一个节点。

示例 3:

image.png

输入: head = [1], pos = -1
输出: 返回 null
解释: 链表中没有环。

解题思路

  • 利用快慢指针,判断当前链表是否有环,无环直接return null;
  • 如果有环,从新利用快慢指针,让两个指针相遇
  • 相遇后,让快指针指向head,从新循环链表,直到相遇

代码1

var detectCycle = function(head){
    if(!head) return null;
    let p = head; q = head.next;
    while(q && q.next && p != q){
        p = p.next;
        q = q.next.next;
    }
    // 说明没有环
    if(q == null || q.next == null) return null;
    // 说明有环
    p = head.next; q = head.next.next;
    while(p != q){
        p = p.next;
        q = q.next.next;
    }
    // 跳出循环,说明p和q在环中相遇了
    q = head;
    while(p != q){
        p = p.next;
        q = q.next;
    }
    return q;
}

代码2

var detectCycle = function(head){
    if(!head) return null;
    let p = head; q = head;
    while(q && q.next){
        p = p.next;
        q = q.next.next;
        if(p == q){
            let temp = head;
            while(temp != p){
                temp = temp.next;
                p = p.next;
            }
            return p;
        }
    }
    return null;
}