[路飞]_算法成长之路四十八,二叉树的前序遍历

66 阅读1分钟

个人算法成长之路四十八!!!定期更新一些刷题过程中个人的思路以及理解。有兴趣的朋友们可以互动交流哈~

题目:

144. 二叉树的前序遍历

给你二叉树的根节点 root ,返回它节点值的 前序 遍历。

 

示例 1:

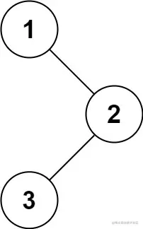
image.png

输入:root = [1,null,2,3]
输出:[1,2,3]

示例 2:

输入:root = []
输出:[]

示例 3:

输入:root = [1]
输出:[1]

解题思路:

  • 递归的方式来实现非常简单就需要按照前序的顺序来,左根右
  • 为什么前序遍历是根左右呢,后序是左右根,中序是左根右呢
  • 其实只要记住左节点一直在右节点前面,根据根节点所在的位置来叫不同的名字
  • 比方说根节点在前面(根左右),那就叫前序遍历
  • 根节点在后面(左右根),那就叫后序遍历
  • 根节点在中间(左根右),那就叫中序遍历
  • 可以了解下94. 二叉树的中序遍历的题解递归和非递归两种方式来求二叉树的中序遍历
/**
 * @param {TreeNode} root
 * @return {number[]}
 */
var preorderTraversal = function (root) {
  let res = [];
  const preOrder = (root) => {
    if (root == null) return res;
    res.push(root.val);
    preOrder(root.left);
    preOrder(root.right);
  };
  preOrder(root);
  return res;
};