[路飞]leetcode-112.路径总和

54 阅读1分钟

难度简单773收藏分享切换为英文接收动态反馈

给你二叉树的根节点 root 和一个表示目标和的整数 targetSum 。判断该树中是否存在 根节点到叶子节点 的路径,这条路径上所有节点值相加等于目标和 targetSum 。如果存在,返回 true ;否则,返回 false 。力扣原文

叶子节点 是指没有子节点的节点。

示例 1:

输入: root = [5,4,8,11,null,13,4,7,2,null,null,null,1], targetSum = 22
输出: true
解释: 等于目标和的根节点到叶节点路径如上图所示。

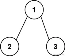
示例 2:

输入: root = [1,2,3], targetSum = 5
输出: false
解释: 树中存在两条根节点到叶子节点的路径:
(1 --> 2): 和为 3
(1 --> 3): 和为 4
不存在 sum = 5 的根节点到叶子节点的路径。

示例 3:

输入: root = [], targetSum = 0
输出: false
解释: 由于树是空的,所以不存在根节点到叶子节点的路径。

使用递归,逐层遍历并建减去当前的val,知道最后一层判断,结果是否为0

var hasPathSum = function(root, targetSum) {
    if(!root){return false}
    //最后一层判断结果是否为0
    if(!root.left&&!root.right)return root.val===targetSum
    targetSum-=root.val; 
    return hasPathSum(root.left,targetSum)||hasPathSum(root.right,targetSum)
};