[路飞]_算法成长之路十二,分隔链表

119 阅读2分钟

个人算法成长之路十二!!!定期更新一些刷题过程中个人的思路以及理解。有兴趣的朋友们可以互动交流哈~

题目:

leetcode-86. 分隔链表

给你一个链表的头节点 head 和一个特定值 x ,请你对链表进行分隔,使得所有 小于 x 的节点都出现在 大于或等于 x 的节点之前。

你应当 保留 两个分区中每个节点的初始相对位置。 示例 1:

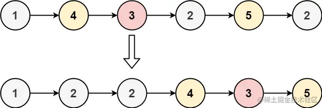
输入: head = [1,4,3,2,5,2], x = 3
输出:[1,2,2,4,3,5]

示例 2:

输入: head = [2,1], x = 2
输出:[1,2]

解题思路:

模拟 直观来说我们只需维护两个链表 small 和 large 即可,small 链表按顺序存储所有小于 xx 的节点,large 链表按顺序存储所有大于等于 xx 的节点。遍历完原链表后,我们只要将 small 链表尾节点指向large 链表的头节点即能完成对链表的分隔。

为了实现上述思路,我们设 smallHead 和 largeHead 分别为两个链表的哑节点,即它们的 next 指针指向链表的头节点,这样做的目的是为了更方便地处理头节点为空的边界条件。同时设 small 和 large 节点指向当前链表的末尾节点。开始时 smallHead=small,largeHead=large。随后,从前往后遍历链表,判断当前链表的节点值是否小于 xx,如果小于就将 small 的 next 指针指向该节点,否则将 large 的 next 指针指向该节点。

遍历结束后,我们将 large 的 next 指针置空,这是因为当前节点复用的是原链表的节点,而其 next 指针可能指向一个小于 xx 的节点,我们需要切断这个引用。同时将 small 的 next 指针指向 largeHead 的 next 指针指向的节点,即真正意义上的 large 链表的头节点。最后返回 smallHead 的 next 指针即为我们要求的答案。

var partition = function(head, x) {
    let small = new ListNode(0);
    const smallHead = small;
    let large = new ListNode(0);
    const largeHead = large;
    while (head !== null) {
        if (head.val < x) {
            small.next = head;
            small = small.next;
        } else {
            large.next = head;
            large = large.next;
        }
        head = head.next;
    }
    large.next = null;
    small.next = largeHead.next;
    return smallHead.next;
};