[路飞]_算法成长之路十一,删除排序链表中的重复元素II

77 阅读2分钟

个人算法成长之路十一!!!定期更新一些刷题过程中个人的思路以及理解。有兴趣的朋友们可以互动交流哈~

题目:

leetcode-82. 删除排序链表中的重复元素 II

给定一个已排序的链表的头 head , 删除原始链表中所有重复数字的节点,只留下不同的数字 。返回 已排序的链表 。 示例 1:

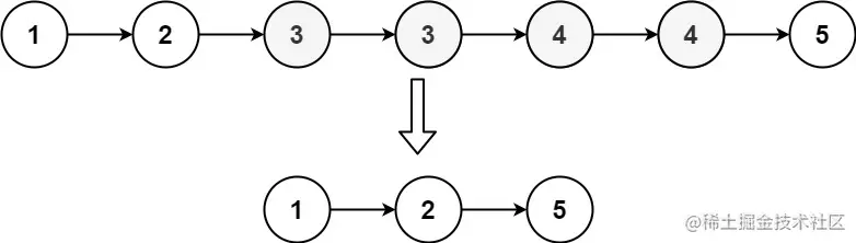
输入: head = [1,2,3,3,4,4,5]
输出: [1,2,5]

示例 2:

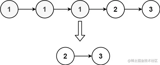
输入: head = [1,1,1,2,3]
输出: [2,3]

解题思路:

一次遍历

由于给定的链表是排好序的,因此重复的元素在链表中出现的位置是连续的,因此我们只需要对链表进行一次遍历,就可以删除重复的元素。由于链表的头节点可能会被删除,因此我们需要额外使用一个哑节点(dummy node)指向链表的头节点。

具体地,我们从指针 cur 指向链表的哑节点,随后开始对链表进行遍历。如果当前 cur.next 与 cur.next.next 对应的元素相同,那么我们就需要将 cur.next 以及所有后面拥有相同元素值的链表节点全部删除。我们记下这个元素值 xx,随后不断将 cur.next 从链表中移除,直到 cur.next 为空节点或者其元素值不等于 xx 为止。此时,我们将链表中所有元素值为 xx 的节点全部删除。

如果当前 cur.next 与 cur.next.next 对应的元素不相同,那么说明链表中只有一个元素值为 cur.next 的节点,那么我们就可以将 cur 指向 cur.next。

当遍历完整个链表之后,我们返回链表的的哑节点的下一个节点 dummy.next 即可。

细节

需要注意 cur.next 以及 cur.next.next 可能为空节点,如果不加以判断,可能会产生运行错误。

var deleteDuplicates = function(head) {
    if (!head) {
        return head;
    }

    const dummy = new ListNode(0, head);

    let cur = dummy;
    while (cur.next && cur.next.next) {
        if (cur.next.val === cur.next.next.val) {
            const x = cur.next.val;
            while (cur.next && cur.next.val === x) {
                cur.next = cur.next.next;
            } 
        } else {
            cur = cur.next;
        }
    }
    return dummy.next;
};