[路飞]_算法成长之路十,删除排序链表中的重复元素

87 阅读1分钟

个人算法成长之路十!!!定期更新一些刷题过程中个人的思路以及理解。有兴趣的朋友们可以互动交流哈~

题目:

leetcode-83. 删除排序链表中的重复元素

给定一个已排序的链表的头 head , 删除所有重复的元素,使每个元素只出现一次 。返回 已排序的链表 。 示例 1:

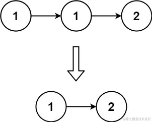
输入: head = [1,1,2]
输出: [1,2]

示例 2:

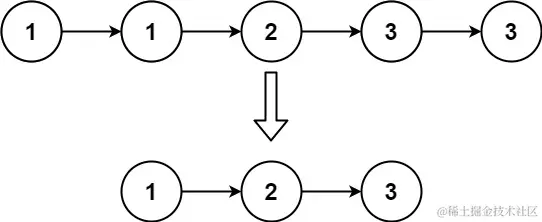
输入: head = [1,1,2,3,3]
输出: [1,2,3]

一次遍历 思路与算法

由于给定的链表是排好序的,因此重复的元素在链表中出现的位置是连续的,因此我们只需要对链表进行一次遍历,就可以删除重复的元素。

具体地,我们从指针 cur 指向链表的头节点,随后开始对链表进行遍历。如果当前 cur 与 cur.next 对应的元素相同,那么我们就将 cur.next 从链表中移除;否则说明链表中已经不存在其它与 cur 对应的元素相同的节点,因此可以将 cur 指向 cur.next。

当遍历完整个链表之后,我们返回链表的头节点即可。

细节

当我们遍历到链表的最后一个节点时,cur.next 为空节点,如果不加以判断,访问 cur.next 对应的元素会产生运行错误。因此我们只需要遍历到链表的最后一个节点,而不需要遍历完整个链表。

var deleteDuplicates = function(head) {
    if (!head) {
        return head;
    }

    let cur = head;
    while (cur.next) {
        if (cur.val === cur.next.val) {
            cur.next = cur.next.next;
        } else {
            cur = cur.next;
        }
    }
    return head;
};