「这是我参与2022首次更文挑战的第9天,活动详情查看:2022首次更文挑战」。
前言
很长一段时间没有接触高数了(大一学后就没有咋再学过),很多知识点都忘记的差不多了
最近学习需要用到以前的一些知识点,所以才编写这篇文章用以回忆、记录一下
基本积分表
∫kdx=kx+C(k是常数)
∫xudx=u+1xu+1+C(u=−1)
∫x3dx=∫x−3dx=−3+1x−3+1dx=−2x−2+C
∫x2xdx=∫x25dx=25+1x25+1=72x27
∫x1dx=ln(∣x∣)+C
∫1+x21dx=arctanx+C
∫1−x21dx=arcsinx+C
∫cosxdx=sinx+C
∫sinxdx=−cosx+C
∫cos2x1dx=∫sec2xdx=tanx+C
∫sin2x1dx=∫csc2xdx=−cotx+C
∫secxtanxdx=secx+C
∫cscxcotxdx=−cscx+C
∫exdx=ex+C
∫axdx=lnaax+C
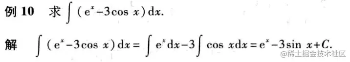
不定积分的性质
性质1
设函数f(x)及g(x)的原函数存在,则
∫[f(x)+g(x)]dx=∫f(x)dx+∫g(x)dx
性质2
设函数f(x)的原函数存在,k为非零常数,则
∫kf(x)dx=k∫f(x)dx




补充公式
\sin(2\alpha)=2\sin(\alpha)\cos(\beta)\tag{1}
sin(2α)=sin(α+α)=sin(α)cos(α)+cos(α)sin(α)=2sin(α)cos(β)
\cos(2\alpha)=2\cos^2(\alpha)-1=1-2\sin^2(\alpha)\tag{2}
cos(2α)=cos(α+α)=cos(α)cos(α)−sin(α)sin(α)=cos2(α)−sin2(α)=2cos2(α)−1=1−2sin2(α)
\tan(2\alpha)=\frac{2\tan(\alpha)}{1-\tan^2(\alpha)}\tag{3}
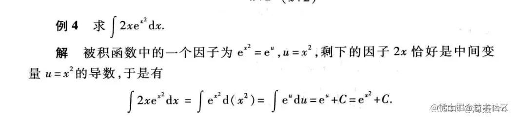
换元积分法
第一类换元法
定理1
设f(u)具有原函数,u=φ(u)可导,则有换元公式
∫f[φ(x)]φ2(x)dx=[∫f(u)du]u=φ(x)

第二类换元法

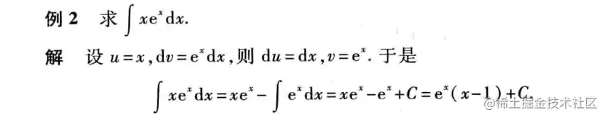
分部积分法
