160.相交链表(双指针)

286 阅读5分钟

「这是我参与2022首次更文挑战的第7天,活动详情查看:2022首次更文挑战」。

每日刷题第29天 2021.1.25

相交链表

题目

  • 给你两个单链表的头节点 headA 和 headB ,请你找出并返回两个单链表相交的起始节点。如果两个链表不存在相交节点,返回 null 。
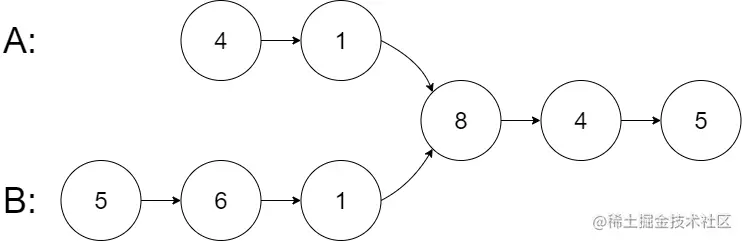
  • 图示两个链表在节点 c1 开始相交: image.png
  • 题目数据 保证 整个链式结构中不存在环。
  • 注意,函数返回结果后,链表必须 保持其原始结构。
  • ......

示例

  • 示例1 image.png
输出:Intersected at '8'
解释:相交节点的值为 8 (注意,如果两个链表相交则不能为 0)。
从各自的表头开始算起,链表 A 为 [4,1,8,4,5],链表 B 为 [5,6,1,8,4,5]。
在 A 中,相交节点前有 2 个节点;在 B 中,相交节点前有 3 个节点。
  • 示例2 image.png
输入:intersectVal = 2, listA = [1,9,1,2,4], listB = [3,2,4], skipA = 3, skipB = 1
输出:Intersected at '2'
解释:相交节点的值为 2 (注意,如果两个链表相交则不能为 0)。
从各自的表头开始算起,链表 A[1,9,1,2,4],链表 B[3,2,4]。
在 A 中,相交节点前有 3 个节点;在 B 中,相交节点前有 1 个节点。
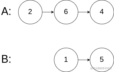
  • 示例3 image.png
输入:intersectVal = 0, listA = [2,6,4], listB = [1,5], skipA = 3, skipB = 2
输出:null
解释:从各自的表头开始算起,链表 A[2,6,4],链表 B[1,5]。
由于这两个链表不相交,所以 intersectVal 必须为 0,而 skipA 和 skipB 可以是任意值。
这两个链表不相交,因此返回 null 。

提示

  • listA 中节点数目为 m
  • listB 中节点数目为 n
  • 1 <= m, n <= 3 * 104
  • 1 <= Node.val <= 105
  • 0 <= skipA <= m
  • 0 <= skipB <= n
  • 如果 listA 和 listB 没有交点,intersectVal 为 0
  • 如果 listA 和 listB 有交点,intersectVal == listA[skipA] == listB[skipB]

进阶

进阶: 你能否设计一个时间复杂度 O(m + n) 、仅用 O(1) 内存的解决方案?

解法

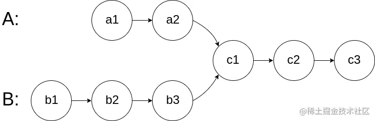
  • 我们可以尝试消除 A、B 链表的长度差,同步遍历上图中的方框里的节点,判断是否有相同节点,若有相同则是两链表相交,返回第一个相同节点 即可。否则返回 null ,两链表不相交。

解题步骤:

  • 同步遍历 A、B 链表pA 、 pB,直到遍历完其中一个链表(短链表),如上图,设A为长链表。
  • 那么此时 A、B 两遍表的长度差就为pA到链尾的长度,此时可以把 pB 指向长链表的表头 headA ,继续同步遍历,直到遍历完长链表
  • 此时,headA pB 的长度就为两链表的长度差,pB 到链表的长度与 headB 到链尾的长度一致
  • 此时,可将 pA 指向 headB ,然后同步遍历 pB 及 pA ,直到有相交节点,返回相交节点,否则返回 null

证明(总结吸收)

  • 下面提供双指针方法的正确性证明。

  • 考虑两种情况

    • 第一种情况是两个链表相交
    • 第二种情况是两个链表不相交
  • 情况一:两个链表相交

    • 链表 headAheadB 的长度分别是 m 和 n。假设链表 headA 的不相交部分有 a 个节点,链表 headB 的不相交部分有 b 个节点,两个链表相交的部分有 c 个节点,则有 a+c=mb+c=n
  • 如果 a=b,则两个指针会同时到达两个链表相交的节点,此时返回相交的节点;

  • 如果 a = b ,则指针pA 会遍历完链表headA,指针pB 会遍历完链表 headB,两个指针不会同时到达链表的尾节点,然后指针 pA 移到链表 headB 的头节点,指针 pB 移到链表 headA 的头节点,然后两个指针继续移动,在指针pA 移动了 a+c+b 次、指针 pB 移动了b+c+a 次之后,两个指针会同时到达两个链表相交的节点,该节点也是两个指针第一次同时指向的节点,此时返回相交的节点。

  • 情况二:两个链表不相交

  • 链表headAheadB 的长度分别是 mn。考虑当 m=nm != n 时,两个指针分别会如何移动:

  • 如果 m=n,则两个指针会同时到达两个链表的尾节点,然后同时变成空值 null,此时返回 null

  • 如果 m != n ,则由于两个链表没有公共节点,两个指针也不会同时到达两个链表的尾节点,因此两个指针都会遍历完两个链表,在指针 pA 移动了 m+n 次、指针 pB 移动了n+m 次之后,两个指针会同时变成空值null,此时返回 null

/**
* Definition for singly-linked list.
* function ListNode(val) {
* this.val = val;
* this.next = null;
* }
*/

/**
* @param {ListNode} headA
* @param {ListNode} headB
* @return {ListNode}
*/

var getIntersectionNode = function(headA, headB) {
// 双指针算法
// A链表n:相交c + 不相交a
// B链表m:相交c + 不相交b
// n = a + c; m = c + b;
if (headA == null || headB == null) {
  // A和B均不为空
  return null;
}
let hA = headA;
let hB = headB;
while (hA != hB) {
  // 判断是否相同
  hA = hA == null ? headB : hA.next;
  hB = hB == null ? headA : hB.next;
}
return hA;
};