LeetCode刷题挑战-javascript:144.二叉树的前序遍历

167 阅读1分钟

R-C.jpeg

「这是我参与2022首次更文挑战的第6天,活动详情查看:2022首次更文挑战」。

题目

给你二叉树的根节点 root ,返回它节点值的 前序 遍历。  

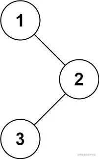
示例 1:

image.png

输入:root = [1,null,2,3]

输出:[1,2,3]

示例 2:

输入:root = []

输出:[]

示例 3:

输入:root = [1]

输出:[1]

示例 4:

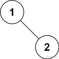
image.png

输入:root = [1,2]

输出:[1,2]

示例 5:

image.png

输入:root = [1,null,2]

输出:[1,2]  

提示:

  • 树中节点数目在范围 [0, 100] 内
  • -100 <= Node.val <= 100  

进阶:

递归算法很简单,你可以通过迭代算法完成吗?

解题思路

方法一:递归

时间复杂度O(n),n为节点个树

空间复杂度O(n),即递归的空间开销(树的高度),最坏的情况下树是链表,所以是O(n),平均空间复杂度O(logn)

//前序遍历:
var preorderTraversal = function(root, res = []) {
    if (!root) return res;
    res.push(root.val);
    preorderTraversal(root.left, res)
    preorderTraversal(root.right, res)
    return res;
};

//中序遍历:
var inorderTraversal = function(root, res = []) {
    if (!root) return res;
    inorderTraversal(root.left, res);
    res.push(root.val);
    inorderTraversal(root.right, res);
    return res;
};

//后序遍历:
var postorderTraversal = function(root, res = []) {
    if (!root) return res;
    postorderTraversal(root.left, res);
    postorderTraversal(root.right, res);
    res.push(root.val);
    return res;
};

方法二:迭代

时间复杂度O(n),n为节点个树

空间复杂度O(n),显示栈的空间开销

// 前序遍历:中左右
// 压栈顺序:右左中
var preorderTraversal = function(root, res = []) {
    const stack = [];
    if (root) stack.push(root);
    while(stack.length) {
        const node = stack.pop();
        if(!node) {
            res.push(stack.pop().val);
            continue;
        }
        if (node.right) stack.push(node.right); // 右
        if (node.left) stack.push(node.left); // 左
        stack.push(node); // 中
        stack.push(null);
    }; 
    return res;
};


//  中序遍历:左中右
//  压栈顺序:右中左
var inorderTraversal = function(root, res = []) {
    const stack = [];
    if (root) stack.push(root);
    while(stack.length) {
        const node = stack.pop();
        if(!node) {
            res.push(stack.pop().val);
            continue;
        }
        if (node.right) stack.push(node.right); // 右
        stack.push(node); // 中
        stack.push(null);
        if (node.left) stack.push(node.left); // 左
    };
    return res;
};

// 后续遍历:左右中
// 压栈顺序:中右左
var postorderTraversal = function(root, res = []) {
    const stack = [];
    if (root) stack.push(root);
    while(stack.length) {
        const node = stack.pop();
        if(!node) {
            res.push(stack.pop().val);
            continue;
        }
        stack.push(node); // 中
        stack.push(null);
        if (node.right) stack.push(node.right); // 右
        if (node.left) stack.push(node.left); // 左
    };
    return res;
};

结束语

这里是小葵🌻,只要把心朝着太阳的地方,就会有温暖~

让我们一起来攻克算法难关吧!!