神经网络模型

173 阅读4分钟

一. 概述

通过上篇对神经网络组成部分的分析,本篇的内容是基于上篇内容的继承(上篇内容详见:神经网络的组成)。如果从结构上讲,神经网络就是由很多个单一的神经单元组合到一起,这里面的一个神经单元的输出就可以是另一个神经单元的输入,每一个神经元有着各自的功能,通过将这些功能各异的神经元有序组合,就可以构成结构不同、用途不同的神经网络。例如,图1就是一个简单的人工神经网络。

image.png

图1:神经网络图

二. 神经网络模型

对于图1神经网络图的解释,我们使用小圆圈来表示神经网络要接受的信号,标上的圆圈中的+1被称为偏置节点(bias)。神经网络最左层用于接受的外部的信息,所以被称为输入层,最右层是经过神经网络处理后最终的输出,也被称为输出层(本例中,输出层只有一个节点)。中间所有节点组成的一层用于变换计算,但看不到具体计算过程,被称为隐藏层,因为我们无法在训练样本集中观测到它们的值。同时也可以看到,以上神经网络的例子中有3个输入单元(维度为3,偏置单元不计在内),3个隐藏单元及一个输出单元。

在这里,我们用Lx来表示网络总共有几层,本例中很显然x=3,同时,我们将第1层记为L1,则L1为输入层,L3为输出层。本例的神经网络有训练参数(W,b),其中(W1,b1,W2,b2)其中W1是第l层第j单元与第l+1层的第i单元之间的连接参数,bi则为第l+1层的第i单元的偏置单元。偏置单元是没有输入的,因为它们总是输出+1。同时,我们记第l层的节点数为si。

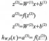
我们用ai表示第l层第i单元的激活值(输出值)。当l=1时,ai=x,也就是第i个输入值(输入值的第i个特征)。对于给定参数集合(W,b),我们的神经网络就可以按照函数h从(x)来计算输出结果,则计算过程:

image.png

image.png

这里用zi来表示第l层第i单元的激活值(包含偏置单元)。 

这样我们就可以将激活函数f()扩展写为向量的形式来表示,则上面的等式可以更简洁地写为:

image.png

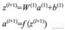
上式的计算过程被称为ANN的前向传播。先前我们使用a=x来表示输入层的激活值,依此类推给定第l层的激活值al之后,则第l+1层的激活值a就可以按照如下式子来计算:

image.png

更直观的结构如图2所示:

image.png

图2:输入与输出

三. 多输出层模型

在第二章节中,我们讨论了一种通用的人工神经网络结构,同时,我们也可以构建另种结构的神经网络(这里的结构指的是两个神经元的连接方式),即含有多个隐藏层的神经网络。例如有一个有nl层的神经网络,那么第1层为输入层,第n层是输出层,中间的每个层l与H+1层紧密相联。在这种构造下,很容易计算神经网络的输出值,我们可以按照之前推出的式子,一步一步地进行前向传播,逐个单元地计算第L2层的每个激活值,依此类推,接着是第L3层的激活值,直到最后的第Ln层。这种联接图没有回路或者闭环,所以称这种神经网络为前馈网络。

除此之外,神经网络的输出单元还可以是多个。举个例子,图3的神经网络结构就有两层隐藏层:(L2和L3层),而输出层L4层包含两个输出单元。

image.png

图3:神经网络连接图

要求解这样的神经网络,需要样本集(x,y)。如果想要预测的输出是有多个分类的,那么这种神经网络就比较适合,例如检测一张数字图片,就有两个输出。

总结

神经网络模型是人工智能最基础的模型,它的创新是受益于神经科学家对大脑神经元的研究。神经网络通过我自学习的方式可以获得高度抽象的信息,以及手工特征无法获取到的特征,在计算机视觉领域取得了革命性的突破。而神经网络之所以最近几年在多个工业领域取得的这么大的成功,反向传播算法是一个很重要的原因。可以说,只有深入了解了反向传播算法才可以说真正了解了神经网络的作用过程,下次分享内容主题反向传播,敬请期待。