leetcode 142.环形链表-ii

116 阅读3分钟

这是我参与2022首次更文挑战的第7天,活动详情查看:2022首次更文挑战

Companies

给定一个链表,返回链表开始入环的第一个节点。 如果链表无环,则返回 null

如果链表中有某个节点,可以通过连续跟踪 next 指针再次到达,则链表中存在环。 为了表示给定链表中的环,评测系统内部使用整数 pos 来表示链表尾连接到链表中的位置(索引从 0 开始)。如果 pos 是 -1,则在该链表中没有环。

注意:pos 不作为参数进行传递,仅仅是为了标识链表的实际情况。

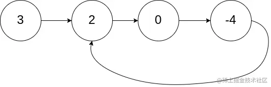
示例 1:

link-list01.jpg

输入:head = [3,2,0,-4], pos = 1
输出:返回索引为 1 的链表节点
解释:链表中有一个环,其尾部连接到第二个节点。

示例 2:

link-list03.jpg

输入:head = [1,2], pos = 0
输出:返回索引为 0 的链表节点
解释:链表中有一个环,其尾部连接到第一个节点。

示例 3:

link-list02.jpg

输入:head = [1], pos = -1
输出:返回 null
解释:链表中没有环。

上次我们降到了如何判断一个链表有没有环,那有环的话我们怎么确定环开始的位置呢? 先看一下下面这张图

link-list04.jpg

  1. 假设从开始到环的入口距离是 a , 慢指针从环的入口到与快指针相遇时所走的距离是 b, 快慢指针相遇时的距离到环的入口的距离是 c
  2. 慢指针与快指针相遇时,慢指针走的路程是 a + b , 快指针走的路程是 a + n(b + c) + b, n 是指所走的圈数
  3. 由于快指针是慢指针速度的两倍,可以得出 2(a + b) = a + n(b + c) + b, 计算后到的 a = n(b + c) - b = (n - 1)(b + c) + c
  4. 上面的公式 (n - 1)是圈数, b + c 是环的距离,那我们是不是可以理解为 a = c 呢?

可能有同学就不理解了 为啥 (n - 1)(b + c)可以约去呢?可以这样想,不管你走了多少圈,最终快指针和慢指针停留的位置是不是就在与入口相距 c 的位置呢? c 的位置时相对的,既然是相对的那快指针转了10 圈和 0 圈对我 c 有影响嘛?那必然没有呀对吧,如果想通了这个,我们是不是就能理解 a = c 了呢?

理解了 a = c ,那我们就接着往下进行

当快指针遇上了慢指针,我们在链表的顶部重新定义一个第三者 temp, 当这个第三者遇到慢指针的时候就相当于我们找到了这个环的入口,让他们两个相亲相爱去吧(谁让快指针不等等慢指针呢,月老拿的钢丝都能让它扯断了)

/*
 * @lc app=leetcode.cn id=142 lang=javascript
 *
 * [142] 环形链表 II
 */

// @lc code=start
/**
 * Definition for singly-linked list.
 * function ListNode(val) {
 *     this.val = val;
 *     this.next = null;
 * }
 */

/**
 * @param {ListNode} head
 * @return {ListNode}
 */
var detectCycle = function (head) {
  if (!head) return null
  let first = head
  let last = head
  while (first && first.next) {
    first = first.next.next
    last = last.next
    if (first == last) {
      let temp = head
      while (temp != last) {
        temp = temp.next
        last = last.next
      }
      return temp
    }
  }
  return null
};
// @lc code=end