LeetCode刷题挑战-javascript:141.环形链表

200 阅读2分钟

R-C.jpeg

「这是我参与2022首次更文挑战的第5天,活动详情查看:2022首次更文挑战」。

题目

给你一个链表的头节点 head ,判断链表中是否有环。

如果链表中有某个节点,可以通过连续跟踪 next 指针再次到达,则链表中存在环。 为了表示给定链表中的环,评测系统内部使用整数 pos 来表示链表尾连接到链表中的位置(索引从 0 开始)。如果 pos 是 -1,则在该链表中没有环。注意:pos 不作为参数进行传递,仅仅是为了标识链表的实际情况。

如果链表中存在环,则返回 true 。 否则,返回 false 。

 

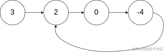
示例 1:

image.png

输入:head = [3,2,0,-4], pos = 1

输出:true

解释:链表中有一个环,其尾部连接到第二个节点。

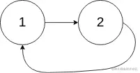
示例 2:

image.png

输入:head = [1,2], pos = 0

输出:true

解释:链表中有一个环,其尾部连接到第一个节点。

示例 3:

image.png

输入:head = [1], pos = -1

输出:false

解释:链表中没有环。   提示:

  • 链表中节点的数目范围是 [0, 104]
  • -105 <= Node.val <= 105
  • pos 为 -1 或者链表中的一个 有效索引 。  

进阶:

你能用 O(1)(即,常量)内存解决此问题吗?

解题思路

方法一:哈希表

思路:

准备一个map或者set,然后循环链表,每次遍历到一个节点的时候,判断当前节点是否在map中存在,如果不存在就把当前节点加入map中,如果存在的话说明之前访问过此节点,也就说明了这条链表有环。

复杂度分析:

时间复杂度O(n),n是链表的数量,最差的情况下每个节点都要遍历。空间复杂度O(n),n是存储遍历过的节点的map或者set

var hasCycle = (head) => {
    let map = new Map();
    while (head) {
        if (map.has(head)) return true;//如果当前节点在map中存在就说明有环
        map.set(head, true);//否则就加入map
        head = head.next;//迭代节点
    }
    return false;//循环完成发现没有重复节点,说明没环
};

方法二:快慢指针

思路:

准备两个指针fast和slow,循环链表,slow指针初始也指向head,每次循环向前走一步,fast指针初始指向head,每次循环向前两步,如果没有环,则快指针会抵达终点,如果有环,那么快指针会追上慢指针

复杂度:

时间复杂度O(n),空间复杂度O(1)

var hasCycle = function (head) {
    //设置快慢指针
    let slow = head;
    let fast = head;
    //如果没有环,则快指针会抵达终点,否则继续移动双指针
    while (fast && fast.next) {
        slow = slow.next;
        fast = fast.next.next;
        //快慢指针相遇,说明含有环
        if (slow == fast) {
            return true;
        }
    }

    return false;
};

方法三:JSON.stringify()

var hasCycle = function (head) {
    try {
        JSON.stringify(head)
    } catch{
        return true
    }
    return false
};

结束语

这里是小葵🌻,只要把心朝着太阳的地方,就会有温暖~

让我们一起来攻克算法难关吧!!