leetcode 141.环形链表

76 阅读2分钟

这是我参与2022首次更文挑战的第6天,活动详情查看:2022首次更文挑战

Companies

给你一个链表的头节点 head ,判断链表中是否有环。

如果链表中有某个节点,可以通过连续跟踪 next 指针再次到达,则链表中存在环。 为了表示给定链表中的环,评测系统内部使用整数 pos 来表示链表尾连接到链表中的位置(索引从 0 开始)。如果 pos 是 -1,则在该链表中没有环。注意:pos 不作为参数进行传递,仅仅是为了标识链表的实际情况。

如果链表中存在环,则返回 true 。 否则,返回 false

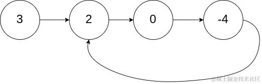
示例 1:

link-list01.jpg

输入:head = [3,2,0,-4], pos = 1
输出:true

解释:链表中有一个环,其尾部连接到第二个节点。

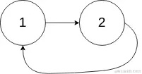
示例 2:

link-list03.jpg

输入:head = [1,2], pos = 0
输出:true

解释:链表中有一个环,其尾部连接到第一个节点。

示例 3:

link-list02.jpg

输入:head = [1], pos = -1
输出:false

解释:链表中没有环。

这道题可以理解为我们小时候常做的一道数学题,小白每分钟跑100米,小菘每分钟200米,他们能够相遇,就说明这个跑道是个圆的也就是环形,遇不到的话那可能就是没缘分吧,可能要跑一辈子了,当然要是没有路的话那肯定就不用跑了,也可以遇到,但是说明了这个路线就不是一个环形的

那转换为程序我们要怎么去写呢?链表的内容我们就先不在这里介绍,这道题就是利用了一个快慢指针去解决,当他们相遇的时候,值肯定就是相等的,如果不相等那就一直跑下去,直到链表的终结也就是 null

/*
 * @lc app=leetcode.cn id=141 lang=javascript
 *
 * [141] 环形链表
 */

// @lc code=start
/**
 * Definition for singly-linked list.
 * function ListNode(val) {
 *     this.val = val;
 *     this.next = null;
 * }
 */

/**
 * @param {ListNode} head
 * @return {boolean}
 */
var hasCycle = function (head) {
  if (!head) return false
  let pre = head
  let cur = head
  while (cur && cur.next) {
    pre = pre.next
    cur = cur.next.next
    if (pre == cur) {
      return true
    }
  }
  return false
};
// @lc code=end