[路飞]_LeetCode题2两数相加

220 阅读1分钟

题目描述

给你两个 非空 的链表,表示两个非负的整数。它们每位数字都是按照 逆序 的方式存储的,并且每个节点只能存储 一位 数字。

请你将两个数相加,并以相同形式返回一个表示和的链表。

你可以假设除了数字 0 之外,这两个数都不会以 0 开头。

 

示例 1:

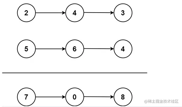
image.png

输入:l1 = [2,4,3], l2 = [5,6,4] 输出:[7,0,8] 解释:342 + 465 = 807. 示例 2:

输入:l1 = [0], l2 = [0] 输出:[0] 示例 3:

输入:l1 = [9,9,9,9,9,9,9], l2 = [9,9,9,9] 输出:[8,9,9,9,0,0,0,1]  

提示:

每个链表中的节点数在范围 [1, 100] 内 0 <= Node.val <= 9 题目数据保证列表表示的数字不含前导零

来源:力扣(LeetCode) 链接:leetcode-cn.com/problems/ad… 著作权归领扣网络所有。商业转载请联系官方授权,非商业转载请注明出处。

题解思路

依题意,链表的顺序即为个十百千万....依次排序,两链表对位相加,再加上进位数,若满10则进1,直到两链表走到头,求和结束,此时需要判断进位位是否为1,若为1,说明还有一个最高位为1,生成最高位,返回目标链表头即可。

题解代码

/**
 * Definition for singly-linked list.
 * function ListNode(val, next) {
 *     this.val = (val===undefined ? 0 : val)
 *     this.next = (next===undefined ? null : next)
 * }
 */
/**
 * @param {ListNode} l1
 * @param {ListNode} l2
 * @return {ListNode}
 */
var addTwoNumbers = function(l1, l2) {
    let carry = 0;
    let head = cur = new ListNode(-1);//用来存储相加后节点值得目标链表的虚拟头结点
    while (l1 || l2) {
        //取l1,l2节点值,不存在则取0占位
        let l1cur = l1? l1.val : 0;
        let l2cur = l2? l2.val : 0;
        //求两链表对位节点值得和及进位值得和
        let sum = l1cur + l2cur + carry;
        //10进制相加,满10进位为1,结果为sum-10
        if (sum > 9) {
        sum = sum - 10;
        carry = 1;
        }else{
        carry = 0;
        }
        //当前结果计算后的节点值为sum
        cur.next = new ListNode(sum);
        cur = cur.next;
        //l1,l2存在则移动到下一节点待计算下一位的和
        if (l1) {
        l1 = l1.next;
        }
        if (l2) {
            l2 = l2.next;
        }
    }
    //l1,l2所有位计算完后,如有进位,则新增最高位节点carry(即1)
    if (carry > 0) {
        cur.next = new ListNode(carry);
    }
    //返回头节点
    return head.next;
};