机器学习小概述(机器学习初体验(Azure))

546 阅读6分钟

「这是我参与2022首次更文挑战的第4天,活动详情查看:2022首次更文挑战

前言

从今天开始我终于开始回归到我的老本行之一进行学习了!每天刷刷力扣,玩玩虚幻四突然发现时间是真不够。所以我得加快脚步了,本来我寒假的计划是完成多目标优化的学习,以及web的学习巩固进阶,也就是分布式SpringCloud 云原生那一块,并对前面写的博客社区进行完善和部署。现在看看时间似乎不够!而且我们这边还有机器学习,深度学习,Sklearn ,pytorch 方面的学习需要巩固(这些东西其实都是我花了半个月学习的,所以我需要重新学习巩固一遍(不然现在的我只能看看人家的demo,跑一跑)))。所以这个寒假三件事,刷Letcode,机器学习,啃多目标优化,并且重新温习java基础部分(线程,反射...框架玩太多了,这块好久没写过原生的了,但是下个学期写MoFlink必然用得上,没有轮子呀!))

OK,那么今天我们来说说机器学习这玩意。一说到这个我们就不得不提到人工智能。一说到人工智能我们又会想到 深度学习

所以问题来了,他们之间有什么关系咧?如果我对这玩意感兴趣,我应该从哪方面入手呢?同时我需要具备那些基础知识呢?

那么接下来我就来说说,他们之间的关系:

  • [人工智能]:这玩意不用我多说,大家都懂。
  • [机器学习]:机器学习是人工智能的一个实现途径。
  • [深度学习]:深度学习是属于我们机器学习的一种分支,也就是说在学习深度学习之前我们最好先学习机器学习。
  • [学习条件]:
  • [数学]:数学的话我们最起码要学习高等数学,和线性代数(后面经常使用),已经概论论,当然还有离散。学习数学的目的是因为有些算法是需要有数学基础的,我们要求不高不奢望能够推导,但是我们最起码要理解。
  • [编程]:如果你想要系统学习,你最好先掌握python。
  • [算法]:掌握一些机器学习算法,我们机器学习的本质其实还是算法,对算法的优化,使用。

好了,那么接下来,我们是时候回来好好聊聊啥事机器学习了。

何为机器学习

机器学习是从数据中自动分析获得模型,并利用模型对未知数据进行预测。

那么这个模型呢其实就是我们一些算法。

image.png

在早期我们的机器学习分为多个阶段,当然我们这边不是历史博文,所以这边只谈现状。

机器学习的流程

image.png

我们的机器学习,大致分为五个部分、

  • 获取数据
  • 数据基本处理
  • 特征工程
  • 机器学习(模型训练)
  • 模型评估

这个也是我先前在使用sklearn里面说的五部曲。

演示(基于Azure实验平台)

那么接下来为了让我的说明更有力,我这里实际的演示一下,首先是我们的代码演示,我们使用我们的sklearn进行演示。这个是预测莺尾花的。

from sklearn.datasets import fetch_20newsgroups
from sklearn.model_selection import train_test_split
from sklearn.feature_extraction.text import TfidfVectorizer
from sklearn.naive_bayes import MultinomialNB

def nb_news():
    """
    用朴素贝叶斯算法对新闻进行分类
    :return:
    """
    #1.获取数据
    news = fetch_20newsgroups(subset="all")#subset="all"获取所有数据,train获取训练数据
    #2.划分数据集
    x_train, x_test, y_train, y_test = train_test_split(news.data, news.target)
    #3.特征工程:文本特征抽取-tfidf
    transfer = TfidfVectorizer()
    x_train = transfer.fit_transform(x_train)
    x_test = transfer.transform(x_test)
    #4.朴素贝叶斯算法预估器流程
    estimator = MultinomialNB()
    estimator.fit(x_train, y_train)
    #5.模型评估
        # 方法1:直接比对真实值和预测值
    y_predict = estimator.predict(x_test)
    print("y_predict:\n", y_predict)
    print("直接比对真实值和预测值:\n", y_test == y_predict)
        # 方法2:计算准确率
    score = estimator.score(x_test, y_test)
    print("准确率为:\n", score)


这个看不懂没关系,咱们还有简单的。那就是咱们的云平台。

Azure

image.png

我们这边直接使用我们的微软账号登录即可。 接下来这样操作

(在此之前我先放一张完整的图片)

image.png

(使用谷歌浏览器翻译之后是这样的)

image.png

下面是正常的开始操作了:

image.png

image.png

此时你就会进入这样的界面

image.png

注意我这里使用的数据集是直接第一个拖过来的。

image.png 它的数据集是长这样的

image.png

之后是绑定我们的预测数据(点击会有弹窗)

image.png 之后点击运行

image.png

image.png

image.png

最后是我们的模型评估

image.png

机器学习算法分类

1 监督学习

定义: 输入数据是由输入特征值和目标值所组成。 函数的输出可以是一个连续的值(称为回归), 或是输出是有限个离散值(称作分类)。

例如: 回归问题

对某些数据进行预测

image.png

分类问题

image.png

当然关于分类问题 也可以是无监督学习例如 K-means

2无监督学习

定义: 输入数据是由输入特征值组成,没有目标值 输入数据没有被标记,也没有确定的结果。样本数据类别未知; 需要根据样本间的相似性对样本集进行类别划分。

举个例子就是,对你班上的人进行划分,你想怎么分都行,只要你能说出理由。

image.png

3半监督学习

定义: 训练集同时包含有标记样本数据和未标记样本数据。

这个举个例子就是,我们前面的监督学习是指输入数据是由输入特征值和目标值所组成。 也就是说,输入数据是【数据,标签】的形式,那么半监督就是输入的数据有一些是【数据,标签】还有一些是没有的。

image.png

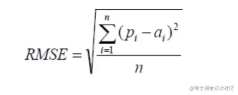
模型评估

模型评估的话主要就是对,当前预测值和我们原有的数据集进行对比,例如一组数据,我们把75%用于训练25%用于评估,我们通过75%的数据进行训练得到模型,之后我们利用这个模型去预测剩下25%之后预测值和我们的实际值进行误差检验,例如最经典的求均方差

image.png

那么说到这里,我们模型还容易出现两张情况。

欠拟合

image.png

过拟合

image.png