一篇文章让你彻底不怕数据结构《树》,千字超详细总结对比!

271 阅读9分钟

本章介绍树的相关知识,包含数据结构:二叉树、哈夫曼树;以及二叉树的三种遍历、计算叶子数、深度、中缀表达式等,使用哈夫曼树生成最优前缀码。

可以转载,但请声明源链接:文章源链接justin3go.com(有些latex公式某些平台不能渲染可查看这个网站)

基本概念

树的定义(在任意非空树中)

  • 必有一个称为根的结点。
  • 当n>1(结点树)时,其余结点可分为m(m>0)个互不相交的有限集T1,T2······T_m。
  • 其中每一个集合本身又是一颗树,称为根的子树。

特点

  • 非空树中至少有一个根结点。
  • 树中各子树是互不相交的集合。
  • 任意结点都可以有零个或多个直接后继结点,但至多只有一个直接前趋结点
  • 叶结点无后继,根结点无前趋。

关键词

  • 结点:树中的元素,包括数据项及若干指向其子树的分支。
  • 结点的度:结点拥有的子树数。
  • 树的度:一个树中最大的结点的度。
  • 叶子结点:度为0的结点,也叫终端结点。
  • 分支结点:度不为0的结点,也叫非终端结点。
  • 内部结点:除根结点外的分支结点。
  • 孩子结点:结点子树的根,称为该结点的孩子。
  • 双亲结点:孩子结点的上层结点,称为该结点的双亲。
  • 兄弟结点:同一双亲的孩子之间互称为兄弟。
  • 堂兄弟结点:其双亲在同一层的结点互称为堂兄弟。
  • 树的层次:从根结点算起,根为第一层,它的孩子为第二层······
  • 树的深度:树中结点的最大层次数。
  • 有序树和无序树:如果将树中结点的各子树看成从左至右有次序的(即不能互换),则称该树为有序树,否则称无序树。有序树最左边的子树的根称为第一个孩子,最右边的称为最后一个孩子。
  • 森林:m(m>=0)颗互不相交的树的集合。
  • 祖先:结点的祖先是从根到该结点所经分支上的所有结点。
  • 子孙:以某结点为根的子树中的任一结点都称为该结点的子孙。

基本操作

初始化、求根、求双亲、求孩子结点、求右兄弟、建树、插入子树操作、删除子树操作、遍历操作、清除操作。

应用场景

决策树、二叉排序树、句法依存树······

image-20210608215758845 image-20210608215720392

二叉树

基础概念

  • 每个结点至多有两棵子树。
  • 不存在度大于2的结点。
  • 子树有左右之分,次序不能任意颠倒。
  • 二叉树不是一种特殊的树,只是一种特殊的树形结构。

满二叉树

image-20210608221448006
  • 深度为k的满二叉树,有2^k - 1个结点。
20++2k1=2k12^0 + ……+2^{k-1} = 2^k-1
  • 2^k - 1,是深度为k的二叉树所具有的最大结点个数。
  • 每层上的结点数都达到最大值。
  • 只有度为0和度为2的结点。
  • 每个结点均有两棵高度相同的子树。
  • 叶子结点都在树的最下一层。

判断一个树是否是完全二叉树:

思路:从上到下,右到左扫描,第一个度小于2的之后的每一个结点都必须是叶子结点

foreach node in one_layer
begin:
	if node有两个孩子,则continue;
	if node无左孩子但有右孩子,则return False;
	if (node有一个左孩子)||(node是叶子),则:
		foreachafnode in NODES(node之后的结点集)
			if afnode不是叶子,则return False;
endforeach
return Ture;

完全二叉树

image-20210608221519418
  • 对比满二叉树,次序是一样的,最后一层只缺少右边的若干结点。
  • 叶子结点只可能在最大的两层上出现。
  • 对任意结点,若其右子树的深度为L,则其左子树的深度必为L或L+1。
  • 除最后一层外,每一层的结点数均达到最大值。

性质

  • 二叉树的第i层至多有2^{i-1}个结点(i>=1)。
  • 深度为k的二叉树,至多有2^k - 1个结点。
  • 对任意二叉树T,如果其终端结点数为n0,度为2的结点数为n2,则n0 = n2 + 1。
  • 具有n个结点的完全二叉树的深度为[log_2 n ] + 1。
  • 对于有n个结点的完全二叉树的结点按层序编号(从第一层到最后一层,每层从左到右),则对任一结点(1<= i <=n),有:
    • 如果i=1,则结点i是根结点,无双亲,否则,其双亲结点是[i/2]
    • 如果2i>n,则结点i无左孩子(结点i为叶子),否则其左孩子是节点2i。
    • 如果2i + 1>n,则结点i无右孩子,否则右左孩子是节点2i。
image-20210609091856020

存储

顺序存储

将任意二叉树修补为完全二叉树,用顺序表对元素进行存储,原二叉树空缺的结点,其顺序表相应单元置空:

image-20210609092131168
链式存储

结点有三个域:数据域、指向左、右子树的指针域:

struct btnode{
    char c;
    btnode* lchild;
    btnode* rchild;
    btnode(char c):
        c(c),lchild(NULL),rchild(NULL){

        }
};

基本操作

创建二叉树:

思路:

  • 按先序序列建立二叉链表。
  • abd···ef··g··(要求会画图)
    • 建立根结点
    • 先序建立左子树
    • 先序建立右子树
int x = 0;
// char str[] = {'-', '+', 'a', '#', '#', '*', 'b', '#', '#', '-', 'c', '#', '#', 'd', '#', '#', '/', 'e', '#', '#', 'f', '#', '#',};
btnode* creatTree(char *str){
    cout << x << "," << str[x] << "; ";
    if(x >= 23 || str[x] == '#'){
        x += 1;
        return NULL;
    }
    btnode* cur_node = new btnode(str[x]);//建立当前树的根接节点
    x += 1;
    cur_node->lchild = creatTree(str);
    cur_node->rchild = creatTree(str);
 
    return cur_node;
}
计算叶子数:
  • 若树空,return 0;
  • 若树t只有唯一的根,则return 1
  • 否则
    • 求该二叉树的左子树的叶子数m。
    • 求该二叉树的右子树的叶子数n。
    • return m+n;
int countLeaf(btnode *T){
    if(T == NULL){
        return 0;
    }
    if(T->lchild == NULL && T->rchild == NULL){
        return 1;
    }
    int m = countLeaf(T->lchild);
    int n = countLeaf(T->rchild);
    return m+n;
}
计算树的深度:
  • 若树为空,return 0;
  • 否则
    • 计算左子树的高度m
    • 计算右子树的高度n
    • return(m>n)?m+1:n+1
int high(btnode *T){
    if(T == NULL){
        return 0;
    }else{
        int m = high(T->lchild) + 1;
        int n = high(T->rchild) + 1;
        if(m > n){
            return m;
        }else{
            return n;
        }
    }
}
带括号的中缀表达式:
//仿照中序遍历,只是区分左右子树
void infixExpression(btnode *T){
    if(T != NULL){
        if(T->lchild != NULL)cout << "(";
        
        infixExpression(T->lchild);
        cout << T->c;
        infixExpression(T->rchild);
        
        if(T->rchild != NULL)cout << ")";
    }
}

遍历

先序遍历(根左右):
void preorder(btnode *T){
    if(T != NULL){
        cout << T->c << ", ";
        preorder(T->lchild);
        preorder(T->rchild);
    }else{
        cout << "#, ";//输出占位符,保持结构
    }
}
中序遍历(左根右):
void inorder(btnode *T){
    if(T != NULL){
        inorder(T->lchild);
        cout << T->c << ", ";
        inorder(T->rchild);
    }else{
        cout << "#, ";//输出占位符,保持结构
    }
}
后序遍历(左右根):
void postorder(btnode *T){
    if(T != NULL){
        postorder(T->lchild);
        postorder(T->rchild);
        cout << T->c << ", ";
    }else{
        cout << "#, ";//输出占位符,保持结构
    }
}
主函数:
int main(){
    cout << "Create Tree" << endl;
    char str[] = {'-', '+', 'a', '#', '#', '*', 'b', '#', '#', '-', 'c', '#', '#', 'd', '#', '#', '/', 'e', '#', '#', 'f', '#', '#',};
    btnode* bt_tree = creatTree(str);
    //遍历
    cout << endl << endl << "preorder,inorder,postorder:" << endl;
    preorder(bt_tree);
    cout << endl;
    inorder(bt_tree);
    cout << endl;
    postorder(bt_tree);
    //计算叶子数
    cout << endl << endl;
    int x = countLeaf(bt_tree);
    cout << "coutLeaf:" << x << endl;
    //计算树深
    cout << endl << "high=" << high(bt_tree) << endl;
    //中缀表达式
    cout << endl << "infixExpression:" << endl;
    infixExpression(bt_tree);
    return 0;
}
输出:
Create Tree
0,-; 1,+; 2,a; 3,#; 4,#; 5,*; 6,b; 7,#; 8,#; 9,-; 10,c; 11,#; 12,#; 13,d; 14,#; 15,#; 16,/; 17,e; 18,#; 19,#; 20,f; 21,#; 22,#; 

preorder,inorder,postorder:
-, +, a, #, #, *, b, #, #, -, c, #, #, d, #, #, /, e, #, #, f, #, #,
#, a, #, +, #, b, #, *, #, c, #, -, #, d, #, -, #, e, #, /, #, f, #,
#, #, a, #, #, b, #, #, c, #, #, d, -, *, +, #, #, e, #, #, f, /, -, 

coutLeaf:6

high=5

infixExpression:
((a+(b*(c-d)))-(e/f))
层序遍历:

思路:利用队列

//层序遍历二叉树
void printBinTree(btnode* root) {
    queue<btnode*> q;
    btnode* b;

    //树为空
    if (root == NULL) {
        cout << "treeNode is empty!" <<endl;
        return;
    }

    //根节点入队
    q.push(root);

    while (!q.empty()) {

        b = q.front();  //拿到队头,队头出队
        q.pop();
        cout << b->c << ", ";  //打印对头的数据

        //对头的左孩子存在就入队
        if (b->lchild) {
            q.push(b->lchild);
        }

        //对头的右孩子存在就入队
        if (b->rchild) {
            q.push(b->rchild);   
        }
    }
}


int main(){
    cout << "Create Tree" << endl;
    char str[] = {'-', '+', 'a', '#', '#', '*', 'b', '#', '#', '-', 'c', '#', '#', 'd', '#', '#', '/', 'e', '#', '#', 'f', '#', '#',};
    btnode* bt_tree = creatTree(str);   
    cout << endl;
    printBinTree(bt_tree);
    return 0;
}

递归算法的非递归描述

//中序遍历为例
void nonRecInorder(btnode *T){
    btnode * p = T;
    vector<btnode*> st;
    if(T != NULL){
        st.push_back(p);
    }else{
        return;
    }
    p = p->lchild;
    while(1){
        while(p != NULL){//右
            st.push_back(p);//同时压栈
            p = p->lchild;
        }
        if(!st.empty()){
            p = st.back();
            st.pop_back();
            cout << p->c << ", ";//中
            p = p->rchild;//左
        }else{
            return;
        }
    }
}

int main(){
    cout << "Create Tree" << endl;
    char str[] = {'-', '+', 'a', '#', '#', '*', 'b', '#', '#', '-', 'c', '#', '#', 'd', '#', '#', '/', 'e', '#', '#', 'f', '#', '#',};
    btnode* bt_tree = creatTree(str);
    cout << endl;
    nonRecInorder(bt_tree);
    return 0;
}
//计算叶子数的非递归描述
int nonRecCountLeaf(btnode *T){  
  if(T == NULL)
    return 0;
  int num = 0;
  vector <btnode*> st;
  while (T != NULL || !st.empty())
  {
    while (T != NULL)
    {
      cout << "node:" << T->c << endl;//print
      st.push_back(T);
      T = T->lchild;
    }
    if (!st.empty())
    {
      T = st.back();//从空那边回来
      st.pop_back();
      if(T->lchild == NULL && T->rchild == NULL)//判断是否为叶子节点
        num++;
      T = T -> rchild;
    }
  }
  return num;
}


int main(){
    cout << "Create Tree" << endl;
    char str[] = {'-', '+', 'a', '#', '#', '*', 'b', '#', '#', '-', 'c', '#', '#', 'd', '#', '#', '/', 'e', '#', '#', 'f', '#', '#',};
    btnode* bt_tree = creatTree(str);   
    cout << endl;
    int x = nonRecCountLeaf(bt_tree);
    cout << endl << "num:" << x;

    return 0;
}

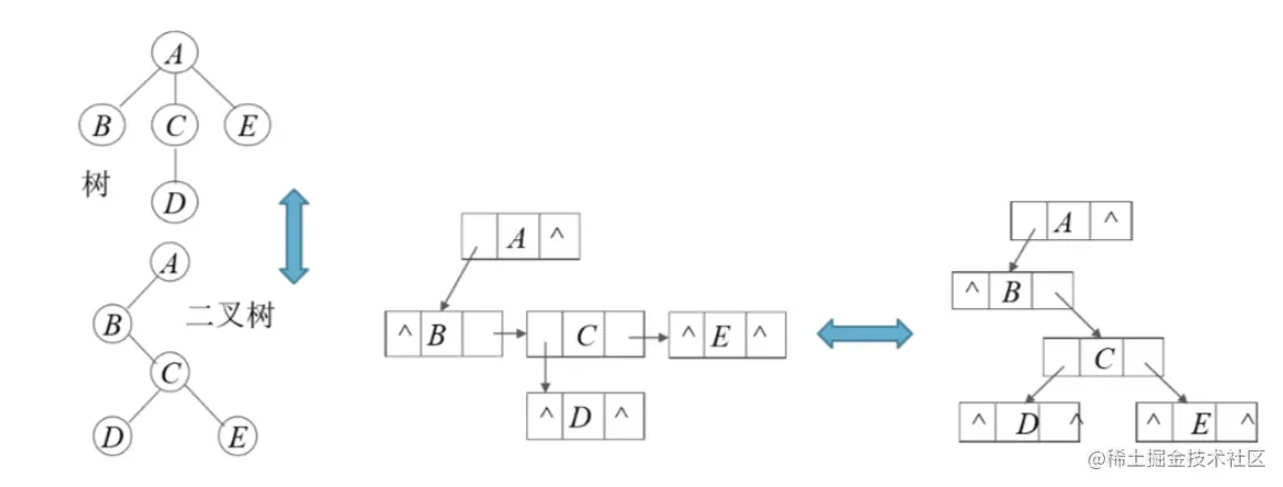
树的表示

双亲表示法:

image-20210609132010019

孩子链法:

image-20210609132021545

转换

孩子兄弟表示法:

image-20220120202134874

将树转换为二叉树:

  • 加线:在兄弟之间加一连线。
  • 抹线:对每个结点,除其第一孩子外,去除其与其余孩子之间的关系。
  • 旋转:以树的根结点为轴心,将整棵树顺时针转45`。
  • 树转换为二叉树其右子树一定为空。
image-20210609132936133

二叉树转换为树:

  • 加线:若p结点是双亲结点的左孩子则将p的右孩子,右孩子的右孩子,······沿分支找到的所有右孩子,都与p的双亲连起来。
  • 抹线:抹掉原二叉树中双亲与右孩子之间的连线。
  • 调整:将结点按层次排列,形成树结构。
image-20210609133312399

森林转换为二叉树:将各棵树分别转换成二叉树,将每棵树的根结点用线相连。

image-20220120202111246

哈夫曼树

基础概念

  • 路径:若树中存在某个结点序列k_1,k_2······k_j。满足k_i是k_{i+1}的双亲,则该结点序列是树上的一条路径。

  • 树的路径长度是指树根到树中每一个结点的路径之和。

  • 完全二叉树的路径长度最短。

  • 结点的权:给树的结点赋以一定意义的数值,称为结点的全权。

  • 结点的带权路径长度:从树根到某个结点的路径长度与该结点的权的积。

  • 树的带权路径长度:树中所有叶子结点的带权路径长度之和。

  • 哈夫曼树的定义:

    • 由n个带权叶子结点构成的二叉树具有不同形态。
    • 其中WPL最小的二叉树
    • 又叫做最优二叉树,或最佳判定树。
    wpl=k=1nwklkwpl = \sum_{k=1}^{n}w_kl_k

    其中,w_k是第i个叶子结点的权值,l_k是根到第i个叶子结点的路径长度。

创建哈夫曼树与哈夫曼编码

创建:

初始化n个权值,到forest的前n个单元,作为forest中n个孤立的根结点。

  • 将前n个单元的双亲、左、右孩子指针均置为0。

  • 不妨将下标为0的单元留空。

  • foreach pos in(n+1~2n-1)
    begin
    	进行1次合并,从froest中删除两棵树,生成1棵新树:
    		从forest的根结点中,选取根结点权值最小、次小的两棵树p1和p2。
    		合并forest[p1]和forest[p2],生成新根结点forest[pos]
    			置forest[pos].w = forest[p1].w + forest[p2].w
    			置forest[p1]和forest[p2]分别为forest[pos]的左右孩子。
    			置forest[p1]和forest[p2]的双亲为forest[pos]
    endforeach
    return
    

**前缀码:**任一字符的编码,不能是其他字符的前缀。

  • 将值作为结点的值,将权重作为边。
  • 构造最优二叉树
  • 将树中每个结点的左分支置为0,右分支置为1。
  • 从根到叶子结点的一个标号序列,就是该叶子结点的编码。
image-20210609150810332

原因:没有一片树叶是其他树叶的祖先,所以叶子结点编码不可能是其他叶子结点编码的前缀。

数据处理
data = []
with open("huffmandata.txt", "r", encoding="utf-8") as f:
    data = f.read()
data[1]
'b'
nums = [0,0,0,0,0]
for i in data:
    if(i == 'a'):
        nums[0] += 1
    if(i == 'b'):
        nums[1] += 1
    if(i == 'c'):
        nums[2] += 1
    if(i == 'd'):
        nums[3] += 1
    if(i == 'e'):
        nums[4] += 1
nums
[398964, 400200, 399318, 400002, 401516]
weight = [0, 0, 0, 0, 0]
for i in range(5):
    weight[i] = nums[i]/len(data)
weight
[0.199482, 0.2001, 0.199659, 0.200001, 0.200758]
op = [0, 0.199482, 0.2001, 0.199659, 0.200001, 0.200758, 0, 0, 0, 0, ]
mem = [1,1,1,1,1,1,1,1,1,1,]
len(mem)
10
生成哈夫曼树
op = [0.199482, 0.2001, 0.199659, 0.200001, 0.200758, 0, 0, 0, 0,]
mem = [1,1,1,1,1,1,1,1,1,]  # 标记是否用过
temp = []  # 存储逆序前的哈夫曼树
weizhi = []

n = len(weight)
c = n
for i in range(n, 2*n-1):
    min_1 = 1
    min_1_index = 0
    min_2 = 1
    min_2_index = 0

    for j in range(0, c):
        if(op[j]*mem[j] < min_1):
            min_1 = op[j]
            min_1_index = j
    for j in range(0, c):
        if((op[j]*mem[j] < min_2) & (op[j] != min_1)):
            min_2 = op[j]
            min_2_index = j
    
    # 标记
    mem[min_1_index] = 20  # 这里只要是一个较大的数就行
    mem[min_2_index] = 20
    temp.append(op[min_1_index])
    temp.append(op[min_2_index])
    print(min_1_index,min_2_index)
    if(min_1_index < n):
        weizhi.append(min_1_index)
    if(min_2_index < n):
        weizhi.append(min_2_index)
    op[i] = op[min_1_index] + op[min_2_index]
    c += 1

# print(op)
temp.append(1)
# 逆序
huffmantree = [0,]
for i in range(len(op)-1,-1,-1):
    huffmantree.append(temp[i])

print(weizhi)
huffmantree

0 2
3 1
4 5
6 7
[0, 2, 3, 1, 4]



[0,
 1,
 0.599899,
 0.40010100000000004,
 0.39914099999999997,
 0.200758,
 0.2001,
 0.200001,
 0.199659,
 0.199482]
生成最优前缀码
l = len(huffmantree)
# 生成的列表方便逆序生成正确的编码
codes = []
for i in range(l-1, int(l/2)-1, -1):
    # print(i)
    codes.append(-1)
    while(int(i/2) != 0):
        if(i%2 == 1):
            codes.append(1)
        else:
            codes.append(0)
        i = int(i/2)
codes
[-1, 1, 0, 0, -1, 0, 0, 0, -1, 1, 1, -1, 0, 1, -1, 1, 0]
# 找到对应的位置
element_src = ['a', 'b', 'c', 'd', 'e']
element = ['x','x','x','x','x']
for i in range(0, len(element_src)):
    element[i] = element_src[weizhi[i]]

element

['a', 'c', 'd', 'b', 'e']
ele_encode = {}
s = ""
j = 0
for i in range(len(codes)-1,-1,-1):
    if(codes[i] == -1):
        ele_encode[element[j]] = s
        j += 1
        s = ""
    else:
        s += str(codes[i])

ele_encode
{'a': '01', 'c': '10', 'd': '11', 'b': '000', 'e': '001'}