一篇文章让你整体了解数据结构《图》,千字超详细总结!

194 阅读6分钟

本章主要介绍了图这个数据结构的相关知识,包含图的基本概念及其关键词、使用不同的数据结构去存储图,算法包括图的遍历、图的拓扑排序、图的最小生成树算法。

可以转载,但请声明源链接:文章源链接justin3go.com(有些latex公式某些平台不能渲染可查看这个网站)

图的关键词

  • 完全图
    • 无向图需要有n(n-1)/2条边。
    • 有向图需要有n(n-1)条弧。
  • 邻接点
  • 度(有向图还有出度和入度)
  • 子图
  • 路径
  • 路径长度
  • 简单路径:顶点不重复出现的路径。
  • 回路:第一个顶点和最后一个顶点相同的路径。
  • 简单回路:除第一顶点和最后以顶点外,其余顶点不重复出现的回路。
  • 权:在图的每条边上加数字作权。
  • 网:带权的图称为网。

  • 连通:无向图中,如果从顶点v到顶点v有路径,则称v和v是连通的。

  • 连通图:如果图中任意两个顶点都是连通的,则是连通图。

  • 连通分量相关:

    • 也叫无向图的极大连通子图
    • 连通图只有一个连通分量,即其自身
    • 非连通的无向图有多个连通分量
  • 强连通图:有向图中每一对顶点都存在路径,则称G是强连通图。

  • 强连通分量

    • 有向图的极大连通子图称作强连通分量。
    • 强连通图的强连通分量是其自身
    • 非强连通的有向图可能有多个强连通分量
  • 生成树

    • 一个连通图的极小连通子图
    • 含有图中全部n个顶点,但只有能令图连通的n-1条边
    image-20210609191424667

图的存储

邻接矩阵

创建顶点集和创建关系集

//图的邻接矩阵存储
#define NMAX 100
typedef int datatype;
typedef struct{
    datatype vexes[NMAX+1];
    int edge[NMAX+1][NMAX+1];
    int n,e
}graph;
graph *ga;

算法思路:

step1:创建ga的存储空间
step2:输入边数ga->e
step3:输入顶点数ga->n
step4:初始化顶点集ga->vexes
	foreach k in (1~ga->n)
		输入顶点的数据data
		ga->vexes[k]=data
step5:初始化邻接矩阵ga->edges为全0
step6:创建边集
	foreach k in (1~ga->e)
		输入边的顶点偶对:(i,j)
		ga->edges[i][j]=1
		ga->edges[j][i]=1
step7:return ga
image-20210609194316082

邻接表

顶点表

边表:边表结点保存着与某顶点关联的另一顶点和指向下一表结点的指针

image-20210609194419001

邻接表结构定义:

#define NMAX 100  //顶点的最大数
typedef struct node{  //边表结点
    int vertex;
    struct node* next;
}edgenode;
typedef struct{  //顶点表结点
    vextype data;
    edgenode* head;  //边表头指针
}vexnode;
typedef struct{  //图的定义
    vexnode vexes[NMAX+1];  //顶点表
    int n, e;  //顶点数、边数
}graph;
graph *ga;

算法思路:

#初始化顶点表ga->vexes
for k in (1~ga->n):
    # 输入数据data
    ga->vexes[k].data = data
    ga->vexes[k].head = NULL
#创建边表集
for k in (1~ga->e):
    # 输入边的顶点对(i,j)
    # 将顶点j添加到顶点i的边表中
    	# 生成边表结点p
        # 结点数据域赋值:p->vertex=j
        # 在边表中加入结点p
        	# p->next=ga->vertex[i].head
            # ga->vertex[i].head=p
    # 将顶点i添加到顶点j的边表中

十字链表

//边表结点
typedef struct arctype{
    int tailvex, headvex;
    struct arctype *hlink,*tlink;
}arclink;

//顶点表结点
typedef struct vnode{
    vertex data;
    arclink *firstin, *firstout;
}ortholistNode
ortholistNode graph[NMAX];
image-20220120202043847

边集数组

typedef struct{
    int fromvex;//边的起点
    int endvex;//边的终点
    int weight;//边的权值
}EDGE;
EDGE edgeet[MaxEDGEnUM];
image-20220120202023107

图的遍历

要求:无重复、无遗漏

关键点:

  • 图中可能存在回路
  • 顶点可能与其它顶点相通,访问完某顶点后,可能沿着某些边回到曾经访问过的顶点。
  • 避免重复访问,可设辅助数组visited[]
    • 将其初始化为0.
    • 遍历时,如果某顶点i被访问,将visited[i]置为1。
    • 以此防止顶点i被多次访问。

深度优先(递归解法):

//邻接矩阵:
for k in (1~n)
    visied[i] = 0;

DFS(ga, vi){
    visit(vi); //访问结点vi
    visited[vi]=1;
    for k in (1~n){
        if(ga->edges[vi][k] == 1 && !visited[k])
            DFS(ga, k);
    }
}
//邻接表:
for k in (1~n)
    visied[i] = 0;

DFS(ga, vi){
    visit(vi);
    visited[vi] = 1;
    p=(ga->vexes[vi]).head;
    while(p){
        if(!visited[p->vertex])
            DFS(ga, p->vertex);
        p=p->next;
    }
}

深度优先(栈):

step1:设初始状态:图中所有顶点都没被访问过
foreach i in (1~n)
	visited[i] = 0;
step2:初始化栈stack
step3:c=r,push(stack,c) //r为出发顶点的编号
step4:访问顶点vc,令visited[c]=1
step5:找到并访问与顶点vc邻接,但未被访问过的顶点v_j
for(j:1~n)
	if(ga[c][j] == 1 and visited[j] == 0)
		c = j, push(stack, j)转step4
step6:当vc所有的邻接点均被访问过,则退回到最近被访问的前一顶点。
	if(!emptystack(stack))
		c=pop(stack),转step5
    else return;

广度优先:类似于树的层次遍历,使用队列辅助存储。

图的连通性:如果遍历完成时DFS或BFS仅调用一次,则图是连通图;若被调用多次,则图是非连通图,分别访问多个连通分量。

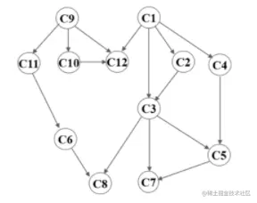
图的拓扑排序

image-20210609210740434

image-20220120202006590

AOV:

  • 顶点表示活动,弧表示活动间的先后关系。
  • AOV网中不能有回路,回路意味着某项活动以自己为先决条件。
  • 死锁。

拓扑排序:

  • 把AOV网中各顶点按其活动的先后关系,排列成一个线性序列的过程。
  • 拓扑序列
  • AOV网用邻接表存储
  • 在邻接表的表头结点增加存放顶点入度的域。
  • 栈或队列存放入度为零的顶点
拓扑排序:对有n个顶点的有向图ga,以邻接表方式存储,找出一条拓扑序列。
step1:初始化栈stack,令count=0
step2:创建ga的邻接表,初始化每个顶点的入度为0
step3:将当前可开始的活动入栈
	foreach k in 1~n
		if(ga->vexes[k].indegree==0)
			push(stack, k)
step4:while(!empty(stack))
	vi = pop(stack)
	visit(vi),count++
	将后续活动的入度减1,并记录新的可开始的活动。
		p=ga->vexes[vi].head
		while(p)
			ga->vexes[p->data].indegree--
			if(ga->vexes[p->data].indegree==0)
				push(stack,p->data)
            p = p->next;
step3:如仍有活动未进行,return FALSE,否则return TRUE
	if(count<n)
		return FALSE;

图的最小生成树

生成树

  • 连通图G的极小连通子图,称为图的生成树
  • 包含图中所有顶点
  • 无回路
    • n个顶点,只有n-1条边。
    • 任意去掉一条边,图将变为非连通图
    • 添加一条边,图中将出现回路
  • 含n个顶点n-1的图不一定是最小生成树
  • 深度优先生成树
  • 广度优先生成树
  • 图的生成树不是唯一的
  • 从不同的顶点出发,可得到不同的生成树。

图的最小生成树

  • 连通网络G=(V,E)的各边带权
  • 因此其生成树各边带权
  • 生成树的权
    • 生成树各边权值的和
  • 最小生成树(MST)
    • 权值最小的生成树

PRIM算法

初始U中含任意一个顶点u0,初始候选边集 image-20210609213706268

  • numv=1
  • while(numv=1){
  • ​ 从C中选最短边并入边集E,点集U
  • ​ numv++
  • ​ 调整候选边集C image-20210609214143152
image-20210609214218953

Kruskal算法

算法思想:权值由小到大开始来连接,连通的不要,直到生成生成树,即最小生成树。

image-20210609214529186 image-20210609214547290