一篇文章让你彻底理解数组及其扩展的数据结构,快速转置算法等,千字超详细总结!

217 阅读1分钟

数组

本章主要介绍数组基本概念及其扩展,二维数组的特殊矩阵:对称矩阵、三角矩阵、稀疏矩阵、十字链表等存储解耦;然后介绍并实现了稀疏矩阵的快速转置算法。

可以转载,但请声明源链接:文章源链接justin3go.com(有些latex公式某些平台不能渲染可查看这个网站)

数组

特点:

  • 结构固定
  • 每一个维度上的元素同构

数组运算:

  • 给定位置,存取相应数据元素。
  • 给定位置,修改数据元素的值。
  • 数组一般不做添加或删除操作。

数组顺序存储:

  • 以行序为主序。
Loc(a_{ij}) = Loc(a_{00}) + (i\times n + j)\times L\

\

  • 以列序为主序。
Loc(a_{ij}) = Loc(a_{00}) + (j\times m + i)\times L\

\

特殊矩阵

对称矩阵

n = \begin{cases} & \text i(i+1)/2+j, i>=j \\ & \text j(j+1)/2+i, i<j \end{cases}\

\

image-20210607214501215

三角矩阵

image-20210607214526959

n = \begin{cases} & \text i(i+1)/2 + j, i>=j \\ & \text n(n+1)2, i<j \end{cases}\

\

三对角矩阵

\

image-20210607214713166

(按行主序为例)

  • 总长度:3n-2
  • 已知k(0<=k<=3n-3)
  • i = (k+1)/3
  • j = (k+1)%3+i-1

image-20210607215023729

稀疏矩阵

定义

image-20210607215112603

  • 非零元个数<<零元个数

  • 分布没有规律

  • 对矩阵M:

    • density = M中非零元总数/M的元素总数。
    • density<=5%时,则称M为稀疏矩阵。
    • density称为M的稠密度。

压缩存储

  • 三元组法
  • 存储非零元的行、列下标及其值。
  • 存储矩阵的行、列维数。
  • 三元组:{0,1,12},{0,2,9},{3,1,-3}······
  • 行列式维数:(6,7)
  • 非零元个数:8
0678
11212
2139
331-3
43614
54324
65218
76115
864-7

快速转置

image-20210607220203000

一般的矩阵转置:

for(col = 0; col < n; col++){
    for(row = 0; row < m; row++){
        n[col][row] = m[row][col];
    }
}
//时间复杂度:T(n) = O(mxn)

快速转置:

  • 按M中三元组次序转置,转置结果放入N中恰当位置。

  • 确定M中每一列第一个非零元在N中位置。

    • 为确定这些位置,应先计算M中每一列中非零元个数。
  • 设两个辅助数组

    • num[col]:表示M中第col列中非零元个数。
    • cpot[col]:指示M中第col列第一个非零元在N中位置。
  • 显然有

    • cpot[1] = 1
    • cpot[col] = cpot[col-1] + num[col-1]; (2<=col<=M[0])

image-20210607222131939

image-20220122204456346

准备:

#include<iostream>
#include<vector>
#include<cstring>using namespace std;
​
int num[5][5] = {
    {1,1,1,1,1},
    {0,0,0,1,0},
    {0,0,1,0,0},
    {0,1,0,0,0},
    {1,1,1,1,1},
};

链式存储:

struct elements
{
    int col;
    int row;
    int val;
    elements* next;
    elements(int col, int row, int val):
    col(col),row(row),val(val),next(NULL){}
};
//这里偷点懒就不把长度传进来了O(∩_∩),数组定义的全局变量
void num2elements(elements* head){
    elements* temp = NULL;
    for(int i = 4; i >= 0; i--){
        for(int j = 4; j >= 0; j--){
            if(num[i][j] != 0){
                temp = new elements(i, j, num[i][j]);
                temp->next = head->next;
                head->next = temp;
            }
        }
    }
}

顺式存储:

vector<vector<int>> elements;
vector<int> temp;
void num2elements(){//转换3元组
    temp.push_back(5);
    temp.push_back(5);
    temp.push_back(13);
    elements.push_back(temp);
    temp.clear();
    for(int i = 0; i < 5; i++){
        for(int j = 0; j < 5; j++){
            if(num[i][j] != 0){
                temp.push_back(i);
                temp.push_back(j);
                temp.push_back(num[i][j]);
                elements.push_back(temp);
                temp.clear();
            }
        }
    }
}

转置操作:

int count[5];
int cpot[5];
​
int result[14][3];//转置后的结果;
​
void trans(){
    //init count
    for(int i = 0; i < elements.size(); i++){
        count[elements[i][1]]++;
    }
    //init cpot
    int sum = 0;
    for(int i = 0; i < 5; i++){
        cpot[i] = sum;
        sum += count[i];
    }
    int index = 0;
    for(int i = 1; i < 14; i++){
        index = ++cpot[elements[i][1]];
​
        result[index][0] = elements[i][1];
        result[index][1] = elements[i][0];
        result[index][2] = elements[i][2];
    }
    //把行列及非零个数进行赋值
    result[0][0] = elements[0][1];
    result[0][1] = elements[0][0];
    result[0][2] = elements[0][2];
}
​
int T_num[5][5];
void print_result(){
    memset(T_num, 0, sizeof(T_num));
    for(int i = 1; i < 14; i++){
        T_num[result[i][0]][result[i][1]] = result[i][2];
    }
    for(int i = 0; i < 5; i++){
        for(int j = 0;j < 5; j++){
            cout << T_num[i][j] << ", ";
        }
        cout << endl;
    }
}

主函数:

int main(){
    //elements* head = new elements(5, 5, 13);
    //num2elements(head);
    num2elements();
    for(int i = 0; i < elements.size(); i++){
        for(int j = 0; j < 3; j++){
            cout << elements[i][j] << ", ";
        }
        cout << endl;
    }
    cout << "*************************" << endl;
    trans();
    for(int i = 0; i < 14; i++){
        for(int j = 0; j < 3; j++){
            cout << result[i][j] << ", ";
        }
        cout << endl;
    }
    cout << "*************************" << endl;
    print_result();
    return 0;
}

结果:

/*
5, 5, 13, 
0, 0, 1,
0, 1, 1,
0, 2, 1,
0, 3, 1,
0, 4, 1,
1, 3, 1,
2, 2, 1,
3, 1, 1,
4, 0, 1,
4, 1, 1,
4, 2, 1,
4, 3, 1,
4, 4, 1, 
*************************
5, 5, 13,
0, 0, 1,
0, 4, 1,
1, 0, 1,
1, 3, 1,
1, 4, 1,
2, 0, 1,
2, 2, 1,
2, 4, 1,
3, 0, 1,
3, 1, 1,
3, 4, 1,
4, 0, 1,
4, 4, 1,
*/

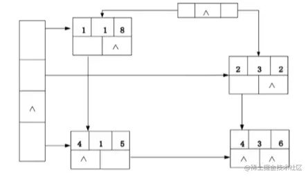
十字链表

原因:三元组表元素移动

  • 对顺序存储的三元组表,移动元素的时间开销大
  • 为维护行主序、列有序,可能产生更多开销

十字链表是稀疏矩阵的另一种存储策略

  • 每个非零元为一个结点,每个结点含五个域。

    • 其中,行域i、列域j、值域v分别表示非零元素的行下标、列下标和值。
    • 向右域right链接同一行中下一个非零元素。
    • 向下域down链接同一列中下一个非零元素。
  • 十字链表存储需要额外的指针域、行、列指针

    • 一般的,当非零元的数不超过总元素个数的20%,适用十字链表存储。

image-20210607224435397

image-20210607224502534