📝Leetcode 环形链表

125 阅读2分钟

「这是我参与2022首次更文挑战的第4天,活动详情查看:2022首次更文挑战」。

题目🌵

📝Leetcode 环形链表

✏️leetcode-cn.com/problems/li…


给你一个链表的头节点 head ,判断链表中是否有环。

如果链表中有某个节点,可以通过连续跟踪 next 指针再次到达,则链表中存在环。 为了表示给定链表中的环,评测系统内部使用整数 pos 来表示链表尾连接到链表中的位置(索引从 0 开始)。如果 pos-1,则在该链表中没有环。注意:pos 不作为参数进行传递,仅仅是为了标识链表的实际情况。

如果链表中存在环,则返回 true 。 否则,返回 false

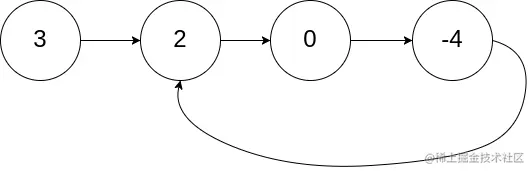
示例 1:

img

输入:head = [3,2,0,-4], pos = 1
输出:true
解释:链表中有一个环,其尾部连接到第二个节点。

解题思路💡

遍历(偷鸡写法)

  • 因为链表存在环,会一直遍历下去,直到计数器大于10000
var hasCycle = function (head) {
    let count = 1
    while (head) {
        if (count > 10000) {
            return true
        }
        count += 1
        head = head.next
    }
    return false
}

image-20220121161403174

如果面试的时候这样写,面试官大概会....

download

使用Hash表记录

  • 利用我们之前讲到cache缓存的方式,建立一个Map或者Set去记录当前链表
  • 如果存在该元素,则说明有环
var hasCycle = function (head) {
    let cache = new Set()
    while (head) {
        if (cache.has(head)) {
            return true
        } else {
            cache.add(head)
        }
        head = head.next
    }
    return false
}

image-20220121162425218

进一步优化

进阶: 你能用 O(1)(即,常量)内存解决此问题吗?

  • 使用快慢指针的解法,类似于操场上龟兔赛跑。
  • 跑的快的总会追上跑得慢的,形成套圈。
var hasCycle = function (head) {
    // 快慢指针
    let fast = head
    let slow = head
    while (fast && fast.next) {
        slow = slow.next
        fast = fast.next.next
        if (fast == slow) {
            return true
        }
    }
    return false
}

image-20220121163626858

通过两个变量的声明,把空间复杂度降到了O(1)。