[路飞]_LeetCode_685. 冗余连接 II

149 阅读3分钟

「这是我参与2022首次更文挑战的第4天,活动详情查看:2022首次更文挑战

题目

在本问题中,有根树指满足以下条件的 有向 图。该树只有一个根节点,所有其他节点都是该根节点的后继。该树除了根节点之外的每一个节点都有且只有一个父节点,而根节点没有父节点。

输入一个有向图,该图由一个有着 n 个节点(节点值不重复,从 1 到 n)的树及一条附加的有向边构成。附加的边包含在 1 到 n 中的两个不同顶点间,这条附加的边不属于树中已存在的边。

结果图是一个以边组成的二维数组 edges 。 每个元素是一对 [ui, vi],用以表示 有向 图中连接顶点 ui 和顶点 vi 的边,其中 ui 是 vi 的一个父节点。

返回一条能删除的边,使得剩下的图是有 n 个节点的有根树。若有多个答案,返回最后出现在给定二维数组的答案。

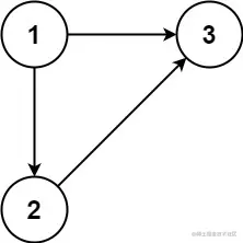
示例 1:

image.png

输入:edges = [[1,2],[1,3],[2,3]]
输出:[2,3]

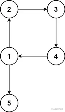
示例 2:

image.png

输入:edges = [[1,2],[2,3],[3,4],[4,1],[1,5]]
输出:[4,1]

来源:力扣(LeetCode)leetcode-cn.com/problems/re…

解题思路

题目是要求我们删除图中的一条边,使得图变成一棵树。 而这个图就是由一课树加一条多余的边组成的,那么我们就是要找到这条边。

这条边连接有三种情况:

  • 由子节点指向根节点,这时会形成环,如下图的情况1;
  • 由子节点指向子节点,这时可能有两种情况
    • 某个节点有两个父节点,我们称这种情况为冲突,如下图情况2;
    • 某个节点有两个父节点,并且形成环,如下图情况3;

image.png

通过以上分析,我们可以把图里的每条边([ui, vi])加入到并查集:

  • 当 vi 的父就不等于自己,说明这个节点已经在并查集中,再次合并则存在冲突;
  • 当 vi 的父就等于自己,并且 ui 的父和 vi 的父相等时,说明存在环;

那么:

  • 如果不存在冲突,则返回环的位置;
  • 如果有冲突并且有环,则取冲突节点的父节点(环内那个父节点)到冲突节点这条边;
  • 如果只有冲突,则返回冲突的位置;

代码实现

var findRedundantDirectedConnection = function(edges) {
    const len = edges.length
    const uf = new UnionFind(len + 1)
    let conflict = []
    let cycle = []
    let parents = new Array(len + 1).fill(0).map((item, index) => index)

    edges.forEach(edge => {
        const [parent, child] = edge
        
        //合并时检查后面的节点是否在并查集内
        if (uf.find(child) !== child) {
            conflict = edge //child已经有父节点,不能再设置父节点,产生冲突
        } else {
            parents[child] = parent
            
            if (uf.find(parent) === uf.find(child)) {
                //父节点和子节点的根相同说明有环
                cycle = edge
            } else {
                uf.union(parent, child)
            }
        }
    })

    if (conflict.length === 0) {
        //只有环
        return cycle
    } else {
        //有冲突,并且有环
        if (cycle.length > 0) {
            const [parent, child] = conflict
            return [parents[child], child]
        }
        
        //只有冲突
        return conflict
    }
};

class UnionFind {
    constructor(n) {
        this.parent = new Array(n).fill(0).map((item, index) => index)
    }

    find(i) {
        return this.parent[i] = this.parent[i] === i ? i : this.find(this.parent[i])
    }

    union(p, q) {
        this.parent[q] = p
    }
}

如有错误欢迎指出,欢迎一起讨论!