「前端刷题」94. 二叉树的中序遍历

78 阅读1分钟

「这是我参与2022首次更文挑战的第2天,活动详情查看:2022首次更文挑战」。

题目

链接:leetcode-cn.com/problems/bi… 给定一个二叉树的根节点 root ,返回它的 中序 遍历。

示例 1:

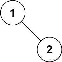
**输入:**root = [1,null,2,3] 输出:[1,3,2]

示例 2:

**输入:**root = [] 输出:[]

示例 3:

**输入:**root = [1] 输出:[1]

示例 4:

**输入:**root = [1,2] 输出:[2,1]

示例 5:

**输入:**root = [1,null,2] 输出:[1,2]

提示:

  • 树中节点数目在范围 [0, 100]
  • -100 <= Node.val <= 100

进阶: 递归算法很简单,你可以通过迭代算法完成吗?

思路1

  • 递归的方式来实现非常简单,就只需要按照中序的顺序来,左根右
  • 为什么中序遍历是左根右呢,后序是左右根,前序是根左右呢
  • 其实只要记住左节点一直在右节点前面,根据根节点所在的位置来叫不同的名字
  • 比方说根节点在前面(根左右),那就叫前序遍历
  • 根节点在后面(左右根),那就叫后序遍历
  • 根节点在中间(左根右),那就叫中序遍历

代码

/**
 * @param {TreeNode} root
 * @return {number[]}
 */
var inorderTraversal = function (root) {
  let res = [];
  let inOrder = (root) => {
    if (root == null) return res;
    inOrder(root.left);
    res.push(root.val);
    inOrder(root.right);
  };
  inOrder(root);
  return res;
};

思路2

非递归的方式,看代码

只要当前节点有值,就一路向左前,一边走一边节点入栈 为什么是用栈呢,因为栈的特性是先入后出,一路向左前,那最后入栈的元素肯定是最左边最底部的元素 最底部最左边的元素出来之后呢,加入结果集中,并且呢,让指针root指向它的右节点,进入下一轮循环

代码

/**
 * @param {TreeNode} root
 * @return {number[]}
 */
var inorderTraversal = function(root) {
    let res = [];
    let node = root;
    let stack = [];
    while (stack.length > 0 || node !== null) {
        if (node) {
            stack.push(node);
            node = node.left
        } else {
            node = stack.pop();
            res.push(node.val);
            node = node.right;
        }
    }
    return res;
};

思路3

迭代,看注释

/**
 * @param {TreeNode} root
 * @return {number[]}
 */
const inorderTraversal = (root) => {
  // 1. 设置结果集
  const result = [];

  // 2. 设置栈队列
  const stack = [];

  // 3. 遍历
  while (root || stack.length) {
    // 3.1 栈添加左子树
    while (root) {
      stack.push(root);
      root = root.left;
    }

    // 3.2 推出
    root = stack.pop();

    // 3.3 获取值
    result.push(root.val);

    // 3.4 转换右子树
    root = root.right;
  }

  // 4. 返回结果集
  return result;
};

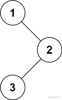
const root = {
  val: 1,
  left: null,
  right: {
    val: 2,
    left: { val: 3, left: null, right: null },
    right: null,
  },
};

console.log(inorderTraversal(root));