跳表算法简述

234 阅读6分钟

跳跃表的引入

我们知道,普通单链表查询一个元素的时间复杂度为O(n),即使该单链表是有序的,我们也不能通过2分的方式缩减时间复杂度。

alt

如上图,我们要查询元素为55的结点,必须从头结点,循环遍历到最后一个节点,不算-INF(负无穷)一共查询8次。那么用什么办法能够用更少的次数访问55呢?最直观的,当然是新开辟一条捷径去访问55

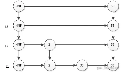
alt

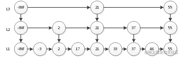
如上图,我们要查询元素为55的结点,只需要在L2层查找4次即可。在这个结构中,查询结点为46的元素将耗费最多的查询次数5次。即先在L2查询46,查询4次后找到元素55,因为链表是有序的,46一定在55的左边,所以L2层没有元素46。然后我们退回到元素37,到它的下一层即L1层继续搜索46。非常幸运,我们只需要再查询1次就能找到46。这样一共耗费5次查询。

那么,如何才能更快的搜寻55呢?有了上面的经验,我们就很容易想到,再开辟一条捷径。

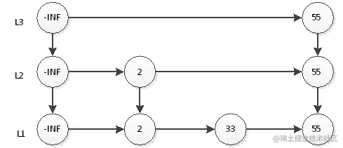
alt

我们可以看到,最耗时的访问46需要6次查询。即L4访问55,L3访问21、55,L2访问37、55,L1访问46。我们直觉上认为,这样的结构会让查询有序链表的某个元素更快。那么究竟算法复杂度是多少呢?

如果有n个元素,因为是2分,所以层数就应该是log n层 (本文所有log都是以2为底),再加上自身的1层。以上图为例,如果是4个元素,那么分层为L3和L4,再加上本身的L2,一共3层;如果是8个元素,那么就是3+1层。最耗时间的查询自然是访问所有层数,耗时logn+logn,即2logn。为什么是2倍的logn呢?我们以上图中的46为例,查询到46要访问所有的分层,每个分层都要访问2个元素,中间元素和最后一个元素。所以时间复杂度为O(logn)。

至此为止,我们引入了最理想的跳跃表,但是如果想要在上图中插入或者删除一个元素呢?比如我们要插入一个元素22、23、24……,自然在L1层,我们将这些元素插入在元素21后,那么L2层,L3层呢?我们是不是要考虑插入后怎样调整连接,才能维持这个理想的跳跃表结构。我们知道,平衡二叉树的调整是一件令人头痛的事情,左旋右旋左右旋……一般人还真记不住,而调整一个理想的跳跃表将是一个比调整平衡二叉树还复杂的操作。幸运的是,我们并不需要通过复杂的操作调整连接来维护这样完美的跳跃表。有一种基于概率统计的插入算法,也能得到时间复杂度为O(logn)的查询效率,这种跳跃表才是我们真正要实现的。

容易实现的跳跃表

容易实现的跳跃表,它允许简单的插入和删除元素,并提供O(logn)的查询时间复杂度,以下我们简称为跳跃表。

先讨论插入,我们先看理想的跳跃表结构,L2层的元素个数是L1层元素个数的1/2,L3层的元素个数是L2层的元素个数的1/2,以此类推。从这里,我们可以想到,只要在插入时尽量保证上一层的元素个数是下一层元素的1/2,我们的跳跃表就能成为理想的跳跃表。那么怎么样才能在插入时保证上一层元素个数是下一层元素个数的1/2呢?很简单,抛硬币就能解决了!假设元素X要插入跳跃表,很显然,L1层肯定要插入X。那么L2层要不要插入X呢?我们希望上层元素个数是下层元素个数的1/2,所以我们有1/2的概率希望X插入L2层,那么抛一下硬币吧,正面就插入,反面就不插入。那么L3到底要不要插入X呢?相对于L2层,我们还是希望1/2的概率插入,那么继续抛硬币吧!以此类推,元素X插入第n层的概率是(1/2)的n次。这样,我们能在跳跃表中插入一个元素了。

在此还是以上图为例:跳跃表的初试状态如下图,表中没有一个元素:

alt

如果我们要插入元素2,首先是在底部插入元素2,如下图:

alt

然后我们抛硬币,结果是正面,那么我们要将2插入到L2层,如下图

alt

继续抛硬币,结果是反面,那么元素2的插入操作就停止了,插入后的表结构就是上图所示。接下来,我们插入元素33,跟元素2的插入一样,现在L1层插入33,如下图:

alt

然后抛硬币,结果是反面,那么元素33的插入操作就结束了,插入后的表结构就是上图所示。接下来,我们插入元素55,首先在L1插入55,插入后如下图:

alt

然后抛硬币,结果是正面,那么L2层需要插入55,如下图:

alt

继续抛硬币,结果又是正面,那么L3层需要插入55,如下图:

alt

然后抛硬币,结果是正面,那么L2层需要插入55,如下图:

alt

继续抛硬币,结果又是正面,那么L3层需要插入55,如下图:

alt

继续抛硬币,结果又是正面,那么要在L4插入55,结果如下图:

alt

继续抛硬币,结果是反面,那么55的插入结束,表结构就如上图所示。

以此类推,我们插入剩余的元素。当然因为规模小,结果很可能不是一个理想的跳跃表。但是如果元素个数n的规模很大,学过概率论的同学都知道,最终的表结构肯定非常接近于理想跳跃表。

当然,这样的分析在感性上是很直接的,但是时间复杂度的证明实在复杂,在此我就不深究了,感兴趣的可以去看关于跳跃表的paper.

再讨论删除,删除操作没什么讲的,直接删除元素,然后调整一下删除元素后的指针即可。跟普通的链表删除操作完全一样。

再来讨论一下时间复杂度,插入和删除的时间复杂度就是查询元素插入位置的时间复杂度,这不难理解,所以是O(logn)。