递归算法

132 阅读2分钟

求数组中的最大值

该函数的功能是 在L和R范围上返回最大值

1、 L=R表示就一个数 最大值是它自己

2、如果不止一个数 就求中点的位置

一般的写法是 (L+R)/2

但这些写有问题 如果数组长度很大 L+R可能会溢出

溢出之后 结果可能为负值

可以写成 L + (R-L)/2

(R-L)/2 表示 L ~ R 之间距离的一半

L 加上 一半的距离 也是 L ~ R 的中点

这个结果是不溢出的 因为 L、R都不溢出,R>L,所以R-L也不溢出

更简洁的写法

L + ((R-L)>>1) 右移一位 就等同于除2了

右移一位比除2要快

3、L ~ mid 范围的调用递归求一个左侧部分的最大值

4、mid+1 ~ R 范围的调用递归求一个右侧部分的最大值

5、全局最大值就是左侧最大值和右侧最大值较大的那个

举例

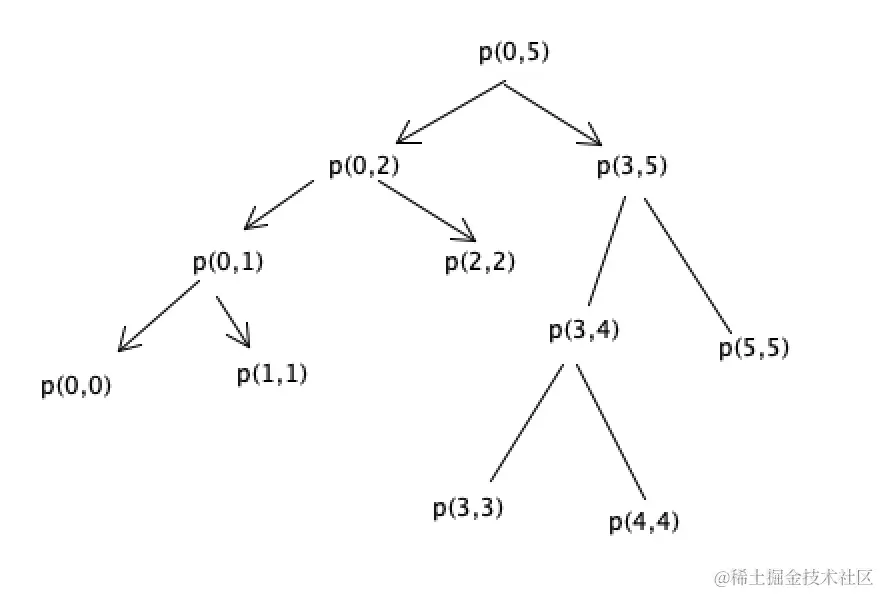
p(0,5)

中点位置是5/2=2的位置

p(0,2)是0~2范围上求个最大值

p(3,5)是3~5范围上求个最大值

只有都返回结果了

才知道0~5范围上的最大值是谁

p(0,2)又分为p(0,1)和p(2,2)

p(2,2)就是它自己了 直接返回

以此类推 递推函数的依赖图如下

所有的子点跑完

最终汇总到p(0,5)的时候 才知道最终答案

执行p(0,5)的时候 知道要调用p(0,2)

p(0,5)的结果没有出来,p(0,5)就进栈了

调p(0,2)的时候 知道自己要先调用p(0,1)

p(0,2)就进栈了

调用p(0,1) 知道先调用p(0,0)所以p(0,1)就进栈了

p(0,0)和p(1,1)计算完之后 p(0,1)就得到结果了

此时p(0,0)和p(1,1)就出栈了

依此类推

悬而未决的东西就会进到栈中

算完的东西就会从栈里弹出

所以就可以认为整个递归过程就是一个多叉树

利用栈玩了一个遍历

每个节点都通过自己的子节点给自己汇总信息之后

才能够继续往上返回

那栈空间就是一个数的高度

只能在一个高度上压栈

这就是递归的过程