「LeetCode」剑指Offer-36二叉搜索树与双向链表⚡️

139 阅读3分钟

「这是我参与2022首次更文挑战的第3天,活动详情查看:2022首次更文挑战

大家好,我是速冻鱼🐟,一条水系前端💦,喜欢花里胡哨💐,持续沙雕🌲
欢迎小伙伴们加我微信sudongyuer拉你进群
关注我的公众号:前端速冻鱼一起进步,期待与大家共同成长🥂

前言🌧️

算法,对前端人来说陌生又熟悉,很多时候我们都不会像后端工程师一样重视这项能力。但事实上,算法对每一个程序员来说,都有着不可撼动的地位。

因为开发的过程就是把实际问题转换成计算机可识别的指令,也就是《数据结构》里说的,「设计出数据结构,在施加以算法就行了」。

当然,学习也是有侧重点的,作为前端我们不需要像后端开发一样对算法全盘掌握,有些比较偏、不实用的类型和解法,只要稍做了解即可。

题目🦀

剑指 Offer 36. 二叉搜索树与双向链表

难度中等

输入一棵二叉搜索树,将该二叉搜索树转换成一个排序的循环双向链表。要求不能创建任何新的节点,只能调整树中节点指针的指向。

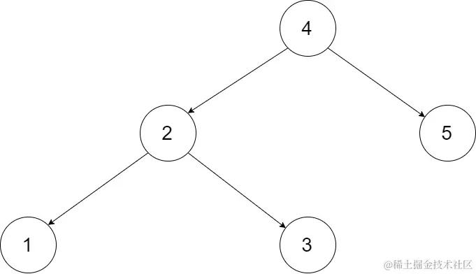
为了让您更好地理解问题,以下面的二叉搜索树为例:

img

我们希望将这个二叉搜索树转化为双向循环链表。链表中的每个节点都有一个前驱和后继指针。对于双向循环链表,第一个节点的前驱是最后一个节点,最后一个节点的后继是第一个节点。

下图展示了上面的二叉搜索树转化成的链表。“head” 表示指向链表中有最小元素的节点。

img

特别地,我们希望可以就地完成转换操作。当转化完成以后,树中节点的左指针需要指向前驱,树中节点的右指针需要指向后继。还需要返回链表中的第一个节点的指针。

**注意:**本题与主站 426 题相同:leetcode-cn.com/problems/co…

**注意:**此题对比原题有改动。

解题思路🌵

  • 此题可以利用树的中序遍历这样从小到大访问到每个节点
  • 退出条件:当前阶段为空则推出
  • 递推公式:dfs(左子树),这里访问当前节点,做链表构建的逻辑,dfs(右子树)
  • 使用pre来保存上一个节点,当pre为null时则是head指针
  • 最后dfs完毕 记得将头节点和尾节点进行双向绑定

解法🔥

/**
 * // Definition for a Node.
 * function Node(val,left,right) {
 *    this.val = val;
 *    this.left = left;
 *    this.right = right;
 * };
 */
/**
 * @param {Node} root
 * @return {Node}
 */
var treeToDoublyList = function(root) {

        let pre, head;
        if(!root){return}
        const dfs=(cur)=>{

            if(!cur){return}
            
            dfs(cur.left)//左
                         //根  
            if(!pre){
                head=cur
                }
            else{
                cur.left=pre
                pre.right=cur
            } 
            pre=cur
            dfs(cur.right)//右
        }
        dfs(root);
        // 首尾相连
        head.left = pre;
        pre.right = head;
        return head
};

时间复杂度:O(n)

空间复杂度:O(n)

结束语🌞

那么鱼鱼的LeetCode算法篇的「LeetCode」剑指Offer-36二叉搜索树与双向链表⚡️就结束了,算法这个东西没有捷径,只能多写多练,多总结,文章的目的其实很简单,就是督促自己去完成算法练习并总结和输出,菜不菜不重要,但是热爱🔥,喜欢大家能够喜欢我的短文,也希望通过文章认识更多志同道合的朋友,如果你也喜欢折腾,欢迎加我好友,一起沙雕,一起进步

github🤖:sudongyu

个人博客👨‍💻:速冻鱼blog

vx👦:sudongyuer

写在最后

伙伴们,如果喜欢我的口水话给🐟🐟点一个赞👍或者关注➕都是对我最大的支持。

加我微信:sudongyuer,邀你进群,一起学习前端,成为更优秀的工程师~(群二维码在这里->前端要午睡, 二维码过期了的话看链接沸点中的评论,我会把最新的二维码放在评论区,当然也可以加我微信我拉你进群,毕竟我也是有趣的前端,认识我也不赖🌟~