[路飞]_199. 二叉树的右视图

98 阅读1分钟

题目路径

题目描述

给定一个二叉树的 根节点 root,想象自己站在它的右侧,按照从顶部到底部的顺序,返回从右侧所能看到的节点值。
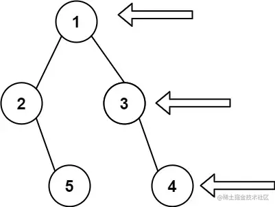
示例 1:

image.png

输入: [1,2,3,null,5,null,4]
输出: [1,3,4]

示例 2:

输入: [1,null,3]
输出: [1,3]

示例 3:

输入: []
输出: []

解题思路

  • 获得一个二叉树的每层的最右侧的节点的值,可以层序遍历,然后取每层最后的一个值

代码

var rightSideView = function(root){
    if(!root) return [];
    let queue = [root];
    let ans = [];
    while(queue.length){
        let temp = [];
        for(let i = queue.length; i > 0; i--){
            let n = queue.shift();
            temp.push(n.val);
            n.left && queue.push(n.left);
            n.right && queue.push(n.right);
        }
        ans.push(temp.pop());
    }
    return ans;
}