线性表的顺序表示及实现

314 阅读4分钟

「这是我参与2022首次更文挑战的第1天,活动详情查看:2022首次更文挑战」。

线性表的定义和特点

1. 定义

线性表(Linear List):由n(n>=0)个具有相同特性的数据元素(结点)a1,a2, ... , 组成的有限序列。

  • 其中数据元素的个数n定义为表的长度;
  • 当n = 0 时称为空表;
  • 将非空的线性表(n>0)记作:(a1 , a2 , ... , an)
  • 这里的数据元素ai(1 <= i <= n)只是一个抽象的符号,其具体含义在不同的情况下可以不同。

2.线性表的逻辑特征

  1. 在非空的线性表中,有且仅有一个开始结点a1,它没有直接前趋,而仅有一个直接后继;
  2. 有且仅有一个终端结点a1,它没有直接后继,而仅有一个直接前趋a n-1
  3. 其余的内部结点ai(2 <= i <= n-1)都有且仅有一个直接前趋a n-1和一个直接后继a n+1
  4. ==线性表是一种典型的线性结构==。

抽象数据类型线性表的定义如下:

ADT List{
	数据对象 : D = {a[i] | a[i]属于Element,(i=1,2,...,n)}
	数据关系 : R = {<a[i-1],a[i]> | a[i-1],a[i]属于D,(i=1,2,...,n)}
	基本操作 :
	 InitList(&L);       DestroyList(&L);
	 ListInsert(&L,i,e);   ListDelete(&L,i,&e);
	 ......等等
}ADT List

线性表的顺序表示

逻辑相邻的数据元素存储在物理上相邻存储单元中的存储结构。知道某个元素的存储位置就可以计算出其他元素的存储位置。 假设线性表的每个元素需占 l 个存储单元,则第i+1个数据元素的存储位置和第i个数据元素的存储位置之间满足关系: ==Loc(ai+1) = Loc(ai) + l== 由此,所有数据元素的存储位置均可由第一个数据元素的存储位置得到 ==Loc(ai) = Loc(a1) + (i +1) x l==

顺序表的元素地址连续、依次存放、随机存取、类型相同,所以可用数组来表示顺序表; 线性表的长度可变,因此用一变量表示顺序表的长度属性。

#define LIST_INIT_SIZE 100    //线性表存储空间的初始分配量
typedef struct {
	ElemType elem[LIST_INIT_SIZE ];
	int length;    //当前长度
}

例如,多项式的顺序存储结构类型定义为: pn(x) = p1(x)x^e1^ + p2(x)x^e2^ + ... + pm(x)x^em^, 线性表 P = ( (p1,e1) , (p2,e2) , ... , (pm,em) );

#define MAXSIZE 1000    //多项式可能达到的最大长度

typedef struct {    //多项式非零项的定义
	float p;        //系数
	int e;          //指数
}Polynomial;

typedef struct {
	Polynomial *elem;        //存储空间的基地址
	int length;              //多项式中当前项的个数
}SqList;                     //多项式的顺序存储结构类型为SqList

顺序表的基本实现

1. 线性表L的初始化

Status initList_Sq(SqlList &L){          //构造一个空的顺序表L
	L.elem = new ElemType[MAXSIZE];      //为顺序表分配空间
	if(!L.elem)                          //存储空间分配失败
		return;
	L.length = 0;                        //空表长度为0
	return;
}

2. 销毁顺序表L

void DestroyList(SqList &L){
	if(L.elem)
		delete L.elem;         //释放存储空间
}

3. 清空顺序表L

void ClearList(SqList &L){
	L.length = 0;              //将线性表的长度置为0
}

4. 求线性表L的长度

int DestroyList(SqList L){
	return L.length;

5. 判断线性表是否为空

int IsEmpty(SqList L){
	if(L.length == 0) return 1;
	else return 0;
}

6. 顺序表的求值(根据位置i获取相应位置数据元素的内容)

int GetElem(SqList L,int i,ElemType &e){
	if(i<1||i>L.length)
		return ERROR;       //判断i值是否合理,若不合理,返回ERROR
	e = L.elem[i-1];        //第i-1的单元存储着第i个数据
	return OK;
}

7. 顺序表的查找

算法思想:

  • 在线性表L中查找与指定e相同的数据元素的位置
  • 从表的一段开始,逐个进行记录的关键字和给定值的比较。找到,返回该元素的位置序号,未找到,返回0。
int LocateElem(SqList L,Element e){
//在线性表L中查找值为e的数据元素。返回其序号(是第几个元素)
	for(i=0li<L.length;i++)
		if(L.elem[i] == e) return i+1;   //查找成功,返回序号
	return 0;                  //查找失败,返回0
}

顺序表的查找算法分析:

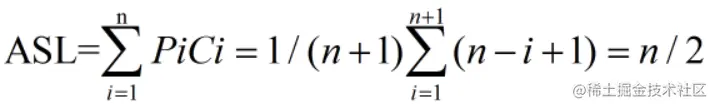
平均查找长度ASL(Average Search Length): 为确定记录在表中的位置,需要与给定值进行比较的关键字的个数的期望值(平均值)叫做查找算法 的平均查找长度。

对含有n个记录的表,查找成功时: 在这里插入图片描述 其中,Pi为找到第i个记录需要比较的次数。Ci为第i个记录被查找的概率。 顺序查找的平均查找长度: ==ASL=P1 + 2P2 + ... + (n-1)Pn-1 + nPn==, 假设每个记录的查找概率相等: 则:在这里插入图片描述由此,得顺序表查找的时间复杂度为==O(n) ~ n==

8. 顺序表的插入 线性表的插入运算是指在表的第i个位置上,插入一个新结点e,使长度为n的线性表(a1,... ,ai-1,ai,...,an)变成长度为n+1的线性表(a1,... ,ai-1, e ,ai,...,an)。

算法思想:

  • 判断插入位置i是否合法,
  • 判断顺序表的存储空间是否已满,
  • 将第n至第i位的元素依次向后移动一个位置,空出第i个位置,
  • 将要插入的新元素e放入第i个位置,
  • 表长加1。
Status ListInsert_Sq(SqList &L,int i,ElemType e){
	if(i<1||i>L.length) return;   //i值不合法
	if(L.length == MAXSIZE) return;   //当前存储空间已满
	for(j=L.length-1;j>=i-1;j++){
		L.emel[j+1] = L.elem[j];      //插入位置及之后的元素后移
	}
	L.elem[i-1]=e;                   //将新元素e放入第i个位置
	L.length++;                      //表长加1
	return;
}

在这里插入图片描述 9. 顺序表的删除 线性表的删除操作运算是指将表的第i个结点删除,使长度为n的线性表(a1,... ,ai-1,ai,ai+1...,an)变成长度为n-1的线性表(a1,... ,ai-1, ai+1,...,an)。

算法思想:

  • 判断删除位置i是否合法,
  • 将欲删除的元素保留在e中,
  • 将第i+1至第n位的元素依次向前移动一个位置,
  • 表长减1,删除成功。
Status ListDelete_Sq(SqList &L,int i){
	if(i<1||i>L.length) return;   //i值不合法
	for(j=i;j<=L.length-1;j++){
		L.emel[j-1] = L.elem[j];      //被删除元素之后的元素前移
	}
	L.length--;                      //表长加1
	return;
}

总结

顺序表的优缺点: 优点:

  • 存储密度大(结点本身所占存储量/结点结构所占存储量)
  • 可以随机存取表中任一元素

缺点

  • 在插入、删除某一元素时,需要大量移动元素
  • 浪费存储空间
  • 属于静态存储形式,数据元素的个数不能自由扩充