「LeetCode」剑指 Offer-34二叉树中和为某一值的路径⚡️

154 阅读3分钟

「这是我参与2022首次更文挑战的第1天,活动详情查看:2022首次更文挑战

大家好,我是速冻鱼🐟,一条水系前端💦,喜欢花里胡哨💐,持续沙雕🌲
欢迎小伙伴们加我微信sudongyuer拉你进群
关注我的公众号:前端速冻鱼一起进步,期待与大家共同成长🥂

前言🌧️

算法,对前端人来说陌生又熟悉,很多时候我们都不会像后端工程师一样重视这项能力。但事实上,算法对每一个程序员来说,都有着不可撼动的地位。

因为开发的过程就是把实际问题转换成计算机可识别的指令,也就是《数据结构》里说的,「设计出数据结构,在施加以算法就行了」。

当然,学习也是有侧重点的,作为前端我们不需要像后端开发一样对算法全盘掌握,有些比较偏、不实用的类型和解法,只要稍做了解即可。

题目🦀

剑指 Offer 34. 二叉树中和为某一值的路径

难度中等

给你二叉树的根节点 root 和一个整数目标和 targetSum ,找出所有 从根节点到叶子节点 路径总和等于给定目标和的路径。

叶子节点 是指没有子节点的节点。

示例 1:

img

输入:root = [5,4,8,11,null,13,4,7,2,null,null,5,1], targetSum = 22
输出:[[5,4,11,2],[5,8,4,5]]

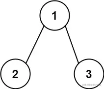
示例 2:

img

输入:root = [1,2,3], targetSum = 5
输出:[]

示例 3:

输入:root = [1,2], targetSum = 0
输出:[]

提示:

  • 树中节点总数在范围 [0, 5000]
  • -1000 <= Node.val <= 1000
  • -1000 <= targetSum <= 1000

注意:本题与主站 113 题相同:leetcode-cn.com/problems/pa…

解题思路🌵

  • 此题利用DFS深度优先遍历以及利用回溯算法来解决
  • 递推公式:获取当前节点的值,记录sum,记录path(注意path是引用类型所以我们传递的时候一定要记住传递一个新的引用) 如果当前节点没有左右节点则为子节点,再判断如果sum等于target那么记录这条路径
  • 退出条件 :当前节点为null时退出

解法🔥

/**
 * Definition for a binary tree node.
 * function TreeNode(val, left, right) {
 *     this.val = (val===undefined ? 0 : val)
 *     this.left = (left===undefined ? null : left)
 *     this.right = (right===undefined ? null : right)
 * }
 */
/**
 * @param {TreeNode} root
 * @param {number} target
 * @return {number[][]}
 */
var pathSum = function(root, target) {
    if(!root){return []}
    const result=[];
   const dfs=(node,sum,path)=>{
       if(!node){return}
        sum+=node.val
        if(!node.left&&!node.right&&sum==target){
            return result.push(path)
        }
       node.left&&dfs(node.left,sum,path.concat(node.left.val))
       node.right&&dfs(node.right,sum,path.concat(node.right.val))
   }
   dfs(root,0,[root.val])
   return result
};

时间复杂度:O(n)

空间复杂度:O(n) 随着节点的增多,每次都要重新创建一个数组来记录当前的path

结束语🌞

那么鱼鱼的LeetCode算法篇的「LeetCode」剑指 Offer-34二叉树中和为某一值的路径⚡️就结束了,算法这个东西没有捷径,只能多写多练,多总结,文章的目的其实很简单,就是督促自己去完成算法练习并总结和输出,菜不菜不重要,但是热爱🔥,喜欢大家能够喜欢我的短文,也希望通过文章认识更多志同道合的朋友,如果你也喜欢折腾,欢迎加我好友,一起沙雕,一起进步

github🤖:sudongyu

个人博客👨‍💻:速冻鱼blog

vx👦:sudongyuer

写在最后

伙伴们,如果喜欢我的口水话给🐟🐟点一个赞👍或者关注➕都是对我最大的支持。

加我微信:sudongyuer,邀你进群,一起学习前端,成为更优秀的工程师~(群二维码在这里->前端要午睡, 二维码过期了的话看链接沸点中的评论,我会把最新的二维码放在评论区,当然也可以加我微信我拉你进群,毕竟我也是有趣的前端,认识我也不赖🌟~