树形结构-对应算法详解三

808 阅读5分钟

文章简要概述

  • 本文主要进行树相关的算法题刷题题解记录,记录树相关算法以及如何解。
  • 这文一共有4道题,主要介绍leetcode中剑指 Offer 32 - II. 从上到下打印二叉树 II107. 二叉树的层序遍历 II103. 二叉树的锯齿形层序遍历、和110. 平衡二叉树的解题思路。

与树相关算法

剑指 Offer 32 - II. 从上到下打印二叉树 II

剑指 Offer 32 - II. 从上到下打印二叉树 II -- leetcode

题目大意:

从上到下按层打印二叉树,同一层的节点按从左到右的顺序打印,每一层打印到一行。

示例

给定二叉树: [3,9,20,null,null,15,7]

    3
   / \
  9  20
    /  \
   15   7

返回其层次遍历结果:

[ [3], [9,20], [15,7] ]

解题思路:

  • 采用递归加上队列的方式
  • 先将树的每一层元素放入队列中,然后从队列的头部取出元素,放入到结果数组中。
  • 重复操作,即可得到每一层的值。

代码:

/**
 * @param {TreeNode} root
 * @return {number[][]}
 */
var levelOrder = function(root) {
  if(!root) return [];
  const res = [];
  const cur = [root];
  while(cur.length != 0) {
    const dep = [];
    for(i = cur.length; i>0;i--) {
        const node = cur.shift();
        dep.push(node.val);
        if (node.left != null) cur.push(node.left);
        if (node.right != null) cur.push(node.right);
    }
    res.push(dep);
  }
  return res;
};

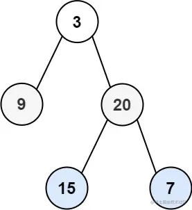
107. 二叉树的层序遍历 II

107. 二叉树的层序遍历 II -- leetcode 题目大意:

给你二叉树的根节点 `root` ,返回其节点值 **自底向上的层序遍历** 。 (即按从叶子节点所在层到根节点所在的层,逐层从左向右遍历)

示例:

tree.jpeg

输入: root = [3,9,20,null,null,15,7]

输出: [[15,7],[9,20],[3]]

解题思路:

  • 这道题和上一道题基本一样,只不过是把结果反转了一下。
  • 采用递归,将每一层的数据放入到数组中,在将数组进行反转即可
  • 数组反转也可以用首尾交换,直到中间相遇为止

代码:

function level(root, dep, res) {
  if (!root) return null;
  if (dep === res.length) res.push(new Array());
  res[dep].push(root.val);
  level(root.left, dep + 1, res);
  level(root.right, dep + 1, res);
}
/**
 * @param {TreeNode} root
 * @return {number[][]}
 */
var levelOrderBottom = function(root) {
  const res = [];
  level(root, 0, res);
  return res.reverse()
};

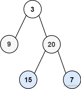
103. 二叉树的锯齿形层序遍历

103. 二叉树的锯齿形层序遍历--leetcode

题目大意:

给你二叉树的根节点 `root` ,返回其节点值的 **锯齿形层序遍历** 。(即先从左往右,再从右往左进行下一层遍历,以此类推,层与层之间交替进行)。

示例:

tree1.jpeg

输入: root = [3,9,20,null,null,15,7]

输出: [[3],[20,9],[15,7]]

解题思路:

  • 还是接着上一题进行的变形。
  • 一样采用递归得到每一层的数值,然后然后奇数下标的方式,反转该层的数据,即可得到锯齿形

代码:

function level(root, dep, res) {
     if (!root) return null;
     if (dep === res.length) {
         res.push(new Array());
     }
     res[dep].push(root.val);
     level(root.left, dep + 1, res);
     level(root.right, dep + 1, res);
 }
/**
 * @param {TreeNode} root
 * @return {number[][]}
 */
var zigzagLevelOrder = function(root) {
   const res = [];
   level(root, 0, res);
   return res.map((item, index) => {
       if(index % 2 === 1) {
           item.reverse()
       }
       return item;
   })
};

110. 平衡二叉树

110. 平衡二叉树--leetcode

题目大意:

给定一个二叉树,判断它是否是高度平衡的二叉树。

本题中,一棵高度平衡二叉树定义为:

一个二叉树*每个节点* 的左右两个子树的高度差的绝对值不超过 1 。

示例:

tree1.jpeg

输入: root = [3,9,20,null,null,15,7]

输出: true

解题思路:

  • 递归获取当前树的左子树和右子树的高度
  • 比较左右子树的高度差是不是大于1,大于1的计数为负数。
  • 比较当前左右子树的高度值是不是小于0, 小于0的计数位负数。
  • 当前树的高度等于左子树的高度和右子树的高度的最大值加1
  • 最后比较树的高度是不是大于等于 0 即可

代码:

function getHeight(root) {
    if (!root) return 0;
    const l = getHeight(root.left);
    const r = getHeight(root.right);
    if (r < 0 || l < 0) return -2;
    if (Math.abs(l-r) > 1) return -2;
    return Math.max(l, r) + 1;
}
/**
 * @param {TreeNode} root
 * @return {boolean}
 */
var isBalanced = function(root) {
   return getHeight(root) >= 0;
};

结束语

数据结构与算法相关的练习题会持续输出,一起来学习,持续关注。当前是树部分。后期还会有其他类型的数据结构,题目来源于leetcode。

往期文章:

树形结构-对应算法详解一                             树形结构-对应算法详解二                             链表相关算法复习一

链表相关算法复习二                                      链表相关算法复习三                                      数据结构与算法-栈一

数据结构与算法-栈二                                    数据结构与算法-队列一                                数据结构与算法-队列二

数据结构与算法-链表一                                 数据结构与算法-链表二                                 数据结构与算法-链表三

有兴趣的可以一起来刷题,求点赞👍 关注!