[路飞]_算法成长之路六,K个一组翻转链表

92 阅读1分钟

个人算法成长之路五!!!定期更新一些刷题过程中个人的思路以及理解。有兴趣的朋友们可以互动交流哈~

题目:

leecode-25.K 个一组翻转链表

给你一个链表,每 k 个节点一组进行翻转,请你返回翻转后的链表。

k 是一个正整数,它的值小于或等于链表的长度。

如果节点总数不是 k 的整数倍,那么请将最后剩余的节点保持原有顺序。

示例 1:

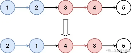
输入: head = [1,2,3,4,5], k = 2
输出: [2,1,4,3,5]

示例 2:

输入: head = [1,2,3,4,5], k = 3
输出: [3,2,1,4,5]

示例 3:

输入: head = [1,2,3,4,5], k = 1
输出: [1,2,3,4,5]

示例 4:

输入: head = [1], k = 1
输出: [1]

解题思路:

将k个一组反转链表问题分解为n个反转链表的子问题

在翻转子链表的时候,我们不仅需要子链表头节点 head,还需要有 head 的上一个节点 pre,以便翻转完后把子链表再接回 pre

const myReverse = (head, tail) => {
    let prev = tail.next;
    let p = head;
    while (prev !== tail) {
        const nex = p.next;
        p.next = prev;
        prev = p;
        p = nex;
    }
    return [tail, head];
}
var reverseKGroup = function(head, k) {
    const hair = new ListNode(0);
    hair.next = head;
    let pre = hair;

    while (head) {
        let tail = pre;
        // 查看剩余部分长度是否大于等于 k
        for (let i = 0; i < k; ++i) {
            tail = tail.next;
            if (!tail) {
                return hair.next;
            }
        }
        const nex = tail.next;
        [head, tail] = myReverse(head, tail);
        // 把子链表重新接回原链表
        pre.next = head;
        tail.next = nex;
        pre = tail;
        head = tail.next;
    }
    return hair.next;
};