[路飞]_leetcode刷题_685. 冗余连接 II

146 阅读2分钟

题目

685. 冗余连接 II

在本问题中,有根树指满足以下条件的 有向 图。该树只有一个根节点,所有其他节点都是该根节点的后继。该树除了根节点之外的每一个节点都有且只有一个父节点,而根节点没有父节点。

输入一个有向图,该图由一个有着 n 个节点(节点值不重复,从 1 到 n)的树及一条附加的有向边构成。附加的边包含在 1 到 n 中的两个不同顶点间,这条附加的边不属于树中已存在的边。

结果图是一个以边组成的二维数组 edges 。 每个元素是一对 [ui, vi],用以表示 有向 图中连接顶点 ui 和顶点 vi 的边,其中 ui 是 vi 的一个父节点。

返回一条能删除的边,使得剩下的图是有 n 个节点的有根树。若有多个答案,返回最后出现在给定二维数组的答案。

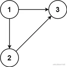
示例 1:

image.png

输入: edges = [[1,2],[1,3],[2,3]]
输出: [2,3]

示例 2:

image.png

输入: edges = [[1,2],[2,3],[3,4],[4,1],[1,5]]
输出: [4,1]

解法一

思路

  1. 遍历所有边,并记录所有子节点的父节点,

  2. 当发现有冲突边时,删除当前冲突变,判断重新构造并查集,连通量是否为1,

    1. 是,则说明当前冲突变多余,直接返回;
    2. 否,则说明另一条冲突变多余,直接返回
  3. 如果没有冲突边,则一定会有一条边造成有环,返回这条“成环边”即可

代码如下

/**
 * @param {number[][]} edges
 * @return {number[]}
 */
var findRedundantDirectedConnection = function(edges) {
    let len = edges.length;
    // 用于记录成环的那条多余的边
    let needless = [];
    // 用于记录每一个节点的父节点数组
    let map = new Map();
    // 创建并查集实例
    let uf = new UnionFind(len);
    for(let i=0;i<len;i++){
        // 取出当前边(m,n)的子节点在n在map中已经存在的父节点
        let father = map.get(edges[i][1]) || [];
        // 处理上述节点的父节点数组
        father.push(edges[i][0])
        // 更新map
        map.set(edges[i][1],father);
        // 如果父节点大于1,说明当前边造成了冲突,那么要么返回当前边,要么返回当前子节点跟另一条父节点构成的边
        if(father.length>1){
            // 删除father[1]这条边后,重新构造并查集,如果连通量是1,则说明当前边可以删除,如果不是,则说明删除当前边造成了结构了脱离,那么删除另一条冲突变
            if(removeEdgeToCheck(edges,edges[i])){
                return edges[i]
            }else{
                return [father[0],edges[i][1]]
            }
        }
        // 如果没有边冲突,则正常合并边对应的两个节点
        let rootP = uf.find(edges[i][0]);
        let rootQ = uf.find(edges[i][1]);
        if(rootP != rootQ){
            uf.union(rootP,rootQ)
        }else{
            // 如果rootP和rootQ相等,说明当前边造成环路出现,那么先保存这条“环路边”,如果循环结束之后,没有出现冲突边,那么就返回这条"环路边"即可
            // 当前这条边导致环路出现,
            needless = edges[i]
        }
    }
    return needless
};

function removeEdgeToCheck(edges,x){
    let len = edges.length;
    let uf = new UnionFind(len);
    for(let i=0;i<len;i++){
        if(edges[i] == x) continue;
        let rootP = uf.find(edges[i][0]);
        let rootQ = uf.find(edges[i][1]);
        if(rootP != rootQ){
            uf.union(rootP,rootQ)
        }
    }
    return uf.size() == 1
}

class UnionFind{
    constructor(size){
        this.parent = Array(size).fill(0).map((el,i)=>i+1);
        this.parent.unshift(0);
        this.count = size;
    }
    size(){
        return this.count;
    }
    find(x){
        if(this.parent[x] != x){
            this.parent[x] = this.find(this.parent[x])
        }
        return this.parent[x]
    }
    union(rootP,rootQ){
        this.parent[rootP] = this.parent[rootQ]
        this.count--;
    }
}