拓端tecdat|R语言逻辑回归、随机森林、SVM支持向量机预测Framingham心脏病风险和模型诊断可视化

148 阅读4分钟

原文链接:tecdat.cn/?p=24973 

原文出处:拓端数据部落公众号

简介

世界卫生组织估计全世界每年有 1200 万人死于心脏病。在美国和其他发达国家,一半的死亡是由于心血管疾病。心血管疾病的早期预后可以帮助决定改变高危患者的生活方式,从而减少并发症。本研究旨在查明心脏病最相关/风险因素,并使用机器学习预测总体风险。

数据准备 

来源

该数据集来自对居民正在进行的心血管研究。分类目标是预测患者未来是否有 10 年患冠心病 (CHD) 的风险。数据集提供了患者的信息。它包括超过 4,000 条记录和 15 个属性。

变量

每个属性都是一个潜在的风险因素。有人口、行为和医疗风险因素。

 人口统计:
• 性别:男性或女性(标量)
• 年龄:患者年龄;(连续 - 尽管记录的年龄已被截断为整数,但年龄的概念是连续的)
行为
• 当前吸烟者:患者是否是当前吸烟者(标量)
• 每天吸烟数:此人一天内平均吸烟的香烟数量。(可以认为是连续的,因为一个人可以拥有任意数量的香烟,甚至半支香烟。)
• BP Meds:患者是否服用降压药(标量)
•中风:患者之前是否有中风(标量)
•  Hyp:患者是否患有高血压(标量)
• 糖尿病:患者是否患有糖尿病(标量)
• Tot Chol:总胆固醇水平(连续)
• Sys BP:收缩压(连续)
• Dia BP:舒张压(连续)
• BMI:体重指数(连续)
• 心率:心率(连续 - 在医学研究中,心率等变量虽然实际上是离散的,但由于存在大量可能值而被认为是连续的。)
• 葡萄糖:葡萄糖水平(连续)
预测变量(预期目标)
• 10 年患冠心病 CHD 的风险(二进制:“1”表示“是”,“0”表示“否”)

心脏病预测

# 获取数据
rdaa <- read.csv(路径)
# 这边可以考虑增加变量收缩压与舒张压之差、描述收缩压、舒张压与高血压等级的变量

# 看数据结构
str(ata)

# 考虑增加变量bplevel
raw_data <- sqldf

# 对变量类别进行区分

ra_da <- map
str(ra_da )

数据预处理

查看和处理缺失值

# 这里我们使用mice包进行缺失值处理
aggr

matplot

由上图可以看出,除了glucose变量,其它变量的缺失比例都低于5%,而glucose变量缺失率超过了10%。对此的处理策略是保留glucose变量的缺失值,直接删除其它变量的缺失值。 现在处理glucose的缺失值,

# 处理glucose列
lee_a <- subset & !is.na & !is.na & !is.na & !is.na & !is.na
# 查看glce与其它变量的线性相关性确定mice的填充策略
gcog = glm(lcse ~ .)
smry(glseg)

 

填充,排除不重要的变量。至于为什么不选diaBP,主要是后面的相关性分析中,这两个变量会造成多重共线性。

mice%in%  m=5,  "pmm", mai = 50, sd=2333, pint= FALSE)
#查看填充结果
smr(mc_od)

# 查看原始数据和插补后的数据分布情况
epot(mi_md)

sipt(mcod, pch=12)

# 填充数据
mi_t <- complete
fir_aa$loe <- miout$guose
sum(is.na(flda))

删除重复行

# 查看有无重复行并删除重复行
sum(duplicated

comd_ata <- comdta[!duplicated(), ]

查看离群点

#查看异常值
gplot(coedta)+geom_boxplot(ae(ftr(1),age))

ggplot(copd_dta)+geom_boxplot(aes(factor(1cigDy))

ggplot(coea)+geom_boxplot(aes(factor(1),ttl))

ggplot(colt_ta)+geom_boxplot(aes(factor(1),syBP))

ggplot(comeaa)+geom_boxplot(aes(factor(1),daP))

ggplot()+gem_boxplot(aes(factor(1),BMI))

# 查看cigsPerDay
cigs_sub <- comled_dta
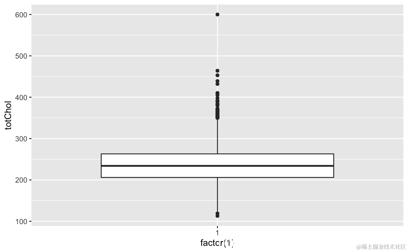
# 查看totChol,删除异常点
# 查看sysBP, 删除异常点
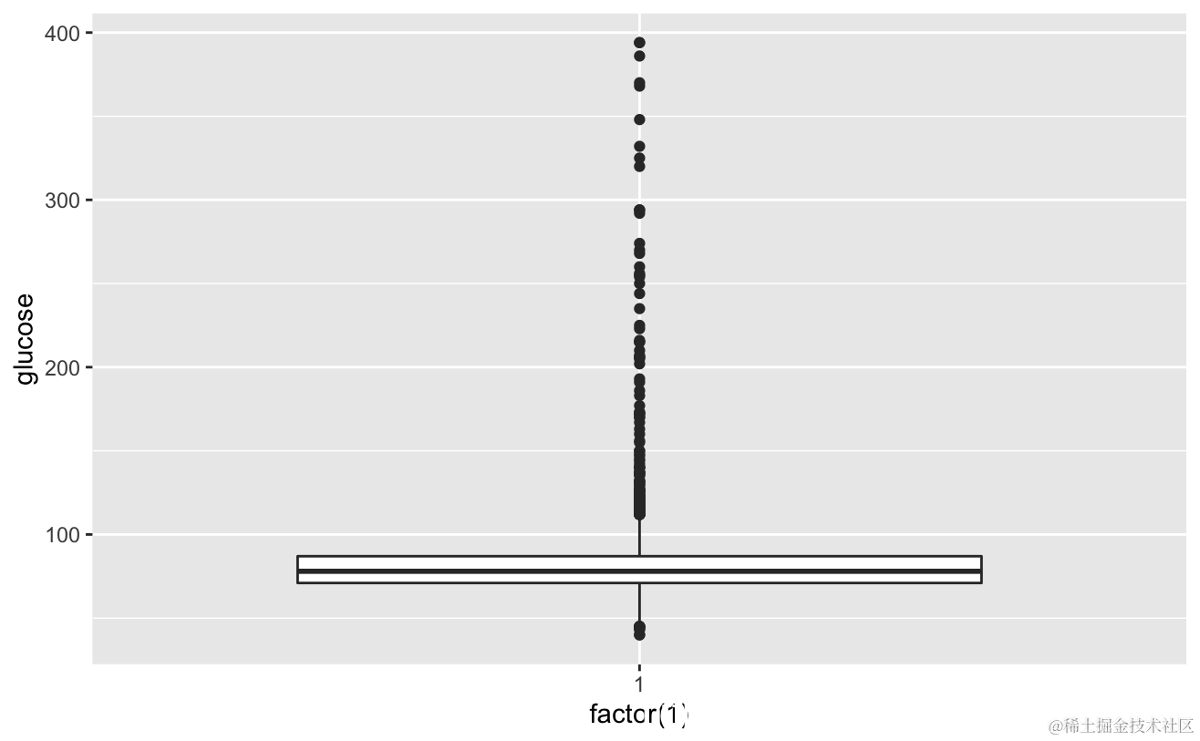
# 查看BMI

totChol: 总胆固醇水平大于240mg/dl已属于非常高,故删去水平值为600mg/dl的记录。 sysBP: 去掉收缩压为295mg/dl的记录

# 删除各变量离群点
competedata 
# 分类型变量列联分析
ggplot+geom_boxplot

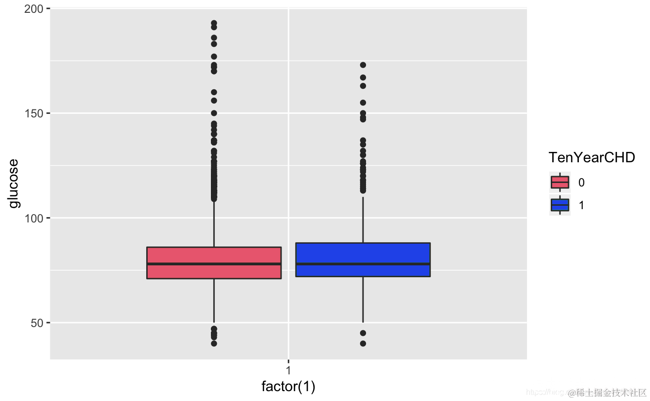
ggplot+geom_boxplot(aes,totChol,fill=TenYerCHD))

cometddata %>% fitr %>% 
ggplot

由图像知,glucose和hearRate变量有不显着的风险

table1=table
chisq.test

table1

table2=table
chisq.test

table3=table
chisq.test

chisq.test

ggpairs

diaBP和sysBP有多重共线性的问题。 

currentSmoker变量可能不显着,下面进入模型部分。

模型

# 划分数据集

split = sample.split

train = subset

逻辑回归

# 逻辑回归模型 - 使用所有变量
fultaog = glm
summary(fulog)

 

fldaog = glm
summary(fuatLg)

prdts = predict
glm_le <- table
ACCU

随机森林

rfoel <- randomForest
# 获得重要性
imprace

# 选择重要的因素
rfmdel <- randomForest
# 误差
plot


# 获取重要性
ggplot +
   geom_bar
   geom_text

这里有患病风险的误差不降反升,需要探究其中原因

# 绘制分类图像
pred<-predict
pdou_1<-predict  #输出概率
table <- table
sum(diag/sum #预测准确率

plot(margin

SVM支持向量机

# 先进行模型调优
tud <- tune.svm
summary(tud )

# 使用turning函数得到最佳参数设置支持向量机
mel.nd <- svm
cost=tuned$
summary(modted)

# 调用predict函数基于刚配置好的SVM模型进行类标号的预测:
sm.ne.ed <- predict
sv.tuedtble <- table
sm.ue.tbe

acy.s.vm <- sum(diag)/sum

模型诊断

根据上面三个模型的结果,可以看出预测结果的类别数量分布非常不均衡

sum

sum(TeYaHD == 0)

针对这一现象,需要采取方法平衡数据集。


最受欢迎的见解

1.R语言多元Logistic逻辑回归 应用案例

2.面板平滑转移回归(PSTR)分析案例实现

3.matlab中的偏最小二乘回归(PLSR)和主成分回归(PCR)

4.R语言泊松Poisson回归模型分析案例

5.R语言混合效应逻辑回归Logistic模型分析肺癌

6.r语言中对LASSO回归,Ridge岭回归和Elastic Net模型实现

7.R语言逻辑回归、Naive Bayes贝叶斯、决策树、随机森林算法预测心脏病

8.python用线性回归预测股票价格

9.R语言用逻辑回归、决策树和随机森林对信贷数据集进行分类预测