题目
- 给你一个链表的头节点 head ,判断链表中是否有环。
- 如果链表中有某个节点,可以通过连续跟踪 next 指针再次到达,则链表中存在环。 为了表示给定链表中的环,评测系统内部使用整数 pos 来表示链表尾连接到链表中的位置(索引从 0 开始)。如果 pos 是 -1,则在该链表中没有环。注意:pos 不作为参数进行传递,仅仅是为了标识链表的实际情况。
- 如果链表中存在环,则返回 true 。 否则,返回 false 。
示例
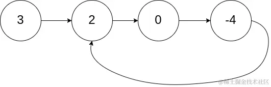
- 示例1

输入: head = [3,2,0,-4], pos = 1
输出: true
解释: 链表中有一个环,其尾部连接到第二个节点。
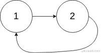
- 示例2

输入: head = [1,2], pos = 0
输出: true
解释: 链表中有一个环,其尾部连接到第一个节点。
- 示例3

输入: head = [1], pos = -1
输出: false
解释: 链表中没有环。
提示
- 链表中节点的数目范围是
[0, 104]
-105 <= Node.val <= 105
pos 为 -1 或者链表中的一个 有效索引 。
拓展
- 本方法需要读者对「Floyd 判圈算法」(又称龟兔赛跑算法)有所了解。
- 假想「乌龟」和「兔子」在链表上移动,「兔子」跑得快,「乌龟」跑得慢。当「乌龟」和「兔子」从链表上的同一个节点开始移动时,如果该链表中没有环,那么「兔子」将一直处于「乌龟」的前方;如果该链表中有环,那么「兔子」会先于「乌龟」进入环,并且一直在环内移动。等到「乌龟」进入环时,由于「兔子」的速度快,它一定会在某个时刻与乌龟相遇,即套了「乌龟」若干圈。
解法
- 快慢指针的思想:快慢指针刚开始的时候,都位于链表的头节点。快指针fast每次往前移动2步,slow指针只往前移动1步。
- 那么当链表无环时,fast指针移动到链表的末尾时,slow指针刚好停在链表的中点
- 当链表有环时,fast指针会与slow指针相遇
var hasCycle = function(head) {
let slow = head;
let fast = head;
while (fast != null && fast.next != null) {
slow = slow.next;
fast = fast.next.next;
if (slow == fast) return true;
}
return false;
};
附录