分布式锁看了又看,最佳方案我来告诉你

108 阅读6分钟

微信公众号:运维开发故事,作者:郑哥

分布式锁的场景

秒杀场景案例

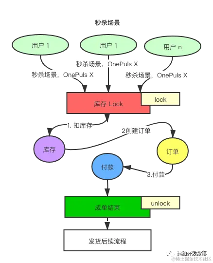
对于商品秒杀的场景,我们需要防止库存超卖或者重复扣款等并发问题,我们通常需要使用分布式锁,来解决共享资源竞争导致数据不一致的问题。

以手机秒杀的场景为例子,在抢购的过程中通常我们有三个步骤:

  1. 扣掉对应商品的库存;2. 创建商品的订单;3. 用户支付。

对于这样的场景我们就可以采用分布式锁的来解决,比如我们在用户进入秒杀 “下单“ 链接的过程中,我们可以对商品库存进行加锁,然后完成扣库存和其他操作,操作完成后。释放锁,让下一个用户继续进入保证库存的安全性;也可以减少因为秒杀失败,导致 DB 回滚的次数。整个流程如下图所示:

图片

注:对于锁的粒度要根据具体的场景和需求来权衡。

三种分布式锁

对于 Zookeeper 的分布式锁实现,主要是利用 Zookeeper 的两个特征来实现:

  1. Zookeeper 的一个节点不能被重复创建

  2. Zookeeper 的 Watcher 监听机制

非公平锁

对于非公平锁,我们在加锁的过程如下图所示。

图片

优点和缺点

其实上面的实现有优点也有缺点:

  • 优点:
    实现比较简单,有通知机制,能提供较快的响应,有点类似 ReentrantLock 的思想,对于节点删除失败的场景由 Session 超时保证节点能够删除掉。

  • 缺点:
    重量级,同时在大量锁的情况下会有 “惊群” 的问题。

“惊群” 就是在一个节点删除的时候,大量对这个节点的删除动作有订阅 Watcher 的线程会进行回调,这对Zk集群是十分不利的。所以需要避免这种现象的发生。

解决“惊群”:

为了解决“惊群“问题,我们需要放弃订阅一个节点的策略,那么怎么做呢?

  1. 我们将锁抽象成目录,多个线程在此目录下创建瞬时的顺序节点,因为 Zookeeper 会为我们保证节点的顺序性,所以可以利用节点的顺序进行锁的判断。

  2. 首先创建顺序节点,然后获取当前目录下最小的节点,判断最小节点是不是当前节点,如果是那么获取锁成功,如果不是那么获取锁失败。

  3. 获取锁失败的节点获取当前节点上一个顺序节点,对此节点注册监听,当节点删除的时候通知当前节点。

  4. 当unlock的时候删除节点之后会通知下一个节点。

公平锁

基于非公平锁的缺点,我们可以通过一下的方案来规避。

图片

优点和缺点

优点: 如上借助于临时顺序节点,可以避免同时多个节点的并发竞争锁,缓解了服务端压力。

缺点: 对于读写场景来说,无法解决一致性的问题,如果读的时候也去获取锁的话,这样会导致性能下降,对于这样的问题,我们可以通过读写锁来实现如类似 jdk 中的 ReadWriteLock

读写锁实现

对于读写锁的特点:读写锁在如果多个线程都是在读的时候,是可以并发读的,就是一个无锁的状态,如果有写锁正在操作的时候,那么读锁需要等待写锁。在加写锁的时候,由于前面的读锁都是并发,所以需要监听最后一个读锁完成后执行写锁。步骤如下:

  1. read 请求, 如果前面是读锁,可以直接读取,不需要监听。如果前面是一个或者多个写锁那么只需要监听最后一个写锁。

  2. write 请求,只需要对前面的节点监听。Watcher 机制和互斥锁一样。

图片

分布式锁实战

本文源码中使用环境:JDK 1.8 、Zookeeper 3.6.x

Curator 组件实现

POM 依赖

<dependency>
  <groupId>org.apache.curator</groupId>
  <artifactId>curator-framework</artifactId>
  <version>2.13.0</version>
</dependency>
<dependency>
  <groupId>org.apache.curator</groupId>
  <artifactId>curator-recipes</artifactId>
  <version>2.13.0</version>
</dependency>

互斥锁运用

由于 Zookeeper 非公平锁的 “惊群” 效应,非公平锁在 Zookeeper 中其实并不是最好的选择。下面是一个模拟秒杀的例子来使用 Zookeeper 分布式锁。

public class MutexTest {
    static ExecutorService executor = Executors.newFixedThreadPool(8);
    static AtomicInteger stock = new AtomicInteger(3);
    public static void main(String[] args) throws InterruptedException {
        CuratorFramework client = getZkClient();
        String key = "/lock/lockId_111/111";
        final InterProcessMutex mutex = new InterProcessMutex(client, key);
        for (int i = 0; i < 99; i++) {
            executor.submit(() -> {
                if (stock.get() < 0) {
                    System.err.println("库存不足, 直接返回");
                    return;
                }
                try {
                    boolean acquire = mutex.acquire(200, TimeUnit.MILLISECONDS);
                    if (acquire) {
                        int s = stock.decrementAndGet();
                        if (s < 0) {
                            System.err.println("进入秒杀,库存不足");
                        } else {
                            System.out.println("购买成功, 剩余库存: " + s);
                        }
                    }
                } catch (Exception e) {
                    e.printStackTrace();
                } finally {
                    try {
                        if (mutex.isAcquiredInThisProcess())
                            mutex.release();
                    } catch (Exception e) {
                        e.printStackTrace();
                    }
                }
            });
        }
        while (true) {
            if (executor.isTerminated()) {
                executor.shutdown();
                System.out.println("秒杀完毕剩余库存为:" + stock.get());
            }
            TimeUnit.MILLISECONDS.sleep(100);
        }
    }
    private static CuratorFramework getZkClient() {
        String zkServerAddress = "127.0.0.1:2181";
        ExponentialBackoffRetry retryPolicy = new ExponentialBackoffRetry(1000, 3, 5000);
        CuratorFramework zkClient = CuratorFrameworkFactory.builder()
                .connectString(zkServerAddress)
                .sessionTimeoutMs(5000)
                .connectionTimeoutMs(5000)
                .retryPolicy(retryPolicy)
                .build();
        zkClient.start();
        return zkClient;
    }
}

读写锁运用

读写锁可以用来保证缓存双写的强一致性的,因为读写锁在多线程读的时候是无锁的, 只有在前面有写锁的时候才会等待写锁完成后访问数据。

public class ReadWriteLockTest {
    static ExecutorService executor = Executors.newFixedThreadPool(8);
    static AtomicInteger stock = new AtomicInteger(3);
    static InterProcessMutex readLock;
    static InterProcessMutex writeLock;
    public static void main(String[] args) throws InterruptedException {
        CuratorFramework client = getZkClient();
        String key = "/lock/lockId_111/1111";
        InterProcessReadWriteLock readWriteLock = new InterProcessReadWriteLock(client, key);
        readLock = readWriteLock.readLock();
        writeLock = readWriteLock.writeLock();
        for (int i = 0; i < 16; i++) {
            executor.submit(() -> {
                try {
                    boolean read = readLock.acquire(2000, TimeUnit.MILLISECONDS);
                    if (read) {
                        int num = stock.get();
                        System.out.println("读取库存,当前库存为: " + num);
                        if (num < 0) {
                            System.err.println("库存不足, 直接返回");
                            return;
                        }
                    }
                } catch (Exception e) {
                    e.printStackTrace();
                }finally {
                    if (readLock.isAcquiredInThisProcess()) {
                        try {
                            readLock.release();
                        } catch (Exception e) {
                            e.printStackTrace();
                        }
                    }
                }
                try {
                    boolean acquire = writeLock.acquire(2000, TimeUnit.MILLISECONDS);
                    if (acquire) {
                        int s = stock.get();
                        if (s <= 0) {
                            System.err.println("进入秒杀,库存不足");
                        } else {
                            s = stock.decrementAndGet();
                            System.out.println("购买成功, 剩余库存: " + s);
                        }
                    }
                } catch (Exception e) {
                    e.printStackTrace();
                } finally {
                    try {
                        if (writeLock.isAcquiredInThisProcess())
                            writeLock.release();
                    } catch (Exception e) {
                        e.printStackTrace();
                    }
                }
            });
        }
        while (true) {
            if (executor.isTerminated()) {
                executor.shutdown();
                System.out.println("秒杀完毕剩余库存为:" + stock.get());
            }
            TimeUnit.MILLISECONDS.sleep(100);
        }
    }
    private static CuratorFramework getZkClient() {
        String zkServerAddress = "127.0.0.1:2181";
        ExponentialBackoffRetry retryPolicy = new ExponentialBackoffRetry(1000, 3, 5000);
        CuratorFramework zkClient = CuratorFrameworkFactory.builder()
                .connectString(zkServerAddress)
                .sessionTimeoutMs(5000)
                .connectionTimeoutMs(5000)
                .retryPolicy(retryPolicy)
                .build();
        zkClient.start();
        return zkClient;
    }
}

打印结果如下,一开始会有 8 个输出结果为 读取库存,当前库存为: 3 然后在写锁中回去顺序的扣减少库存。

读取库存,当前库存为: 3
读取库存,当前库存为: 3
读取库存,当前库存为: 3
读取库存,当前库存为: 3
读取库存,当前库存为: 3
读取库存,当前库存为: 3
读取库存,当前库存为: 3
读取库存,当前库存为: 3
购买成功, 剩余库存: 2
购买成功, 剩余库存: 1
购买成功, 剩余库存: 0
进入秒杀,库存不足
进入秒杀,库存不足
进入秒杀,库存不足
进入秒杀,库存不足
进入秒杀,库存不足
读取库存,当前库存为: 0
读取库存,当前库存为: 0
读取库存,当前库存为: 0
读取库存,当前库存为: 0
读取库存,当前库存为: 0
读取库存,当前库存为: 0
读取库存,当前库存为: 0
读取库存,当前库存为: 0
进入秒杀,库存不足
进入秒杀,库存不足
进入秒杀,库存不足
进入秒杀,库存不足
进入秒杀,库存不足
进入秒杀,库存不足
进入秒杀,库存不足
进入秒杀,库存不足

分布式锁的选择

咱们最常用的就是 Redis 的分布式锁和 Zookeeper 的分布式锁,在性能方面 Redis 的每秒钟 TPS 可以上轻松上万。在大规模的高并发场景我推荐使用 Redis 分布式锁来作为推荐的技术方案。如果对并发要求不是特别高的场景可以使用 Zookeeper 分布式来处理。

参考资料