二叉树

129 阅读1分钟

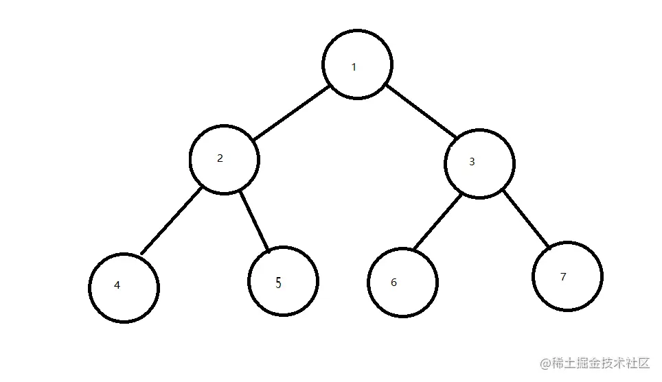
二叉树的概念: 二叉树(Binary Tree)是包含nn个节点的有限集合,该集合或者为空集(此时,二叉树称为空树),或者由一个根节点和两棵互不相交的、分别称为根节点的左子树和右子树的二叉树组成。

image.png

树的结点(node):包含一个数据元素及若干指向子树的分支。 叶子结点:也叫终端结点,时二叉树的最下端,向下无分支。

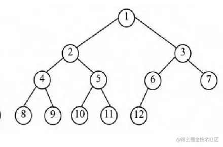
  1. 满二叉树:如果每一个非叶子节点都存在左右子树,并且二叉树中所有的叶子节点都在同一层中,这样的二叉树称为满二叉树。

  2. 完全二叉树:一棵深度为k的有n个结点的二叉树,对树中的结点按从上至下、从左到右的顺序进行编号,如果编号为i(1≤i≤n)的结点与满二叉树中编号为i的结点在二叉树中的位置相同,则这棵二叉树称为完全二叉树

image.png