力扣题解 第14期:剑指 Offer II 052. 展平二叉搜索树

299 阅读1分钟

剑指 Offer II 052. 展平二叉搜索树

1、题干

给你一棵二叉搜索树,请 按中序遍历 将其重新排列为一棵递增顺序搜索树,使树中最左边的节点成为树的根节点,并且每个节点没有左子节点,只有一个右子节点。

示例 1:


输入: root = [5,3,6,2,4,null,8,1,null,null,null,7,9]
输出: [1,null,2,null,3,null,4,null,5,null,6,null,7,null,8,null,9]

示例 2:


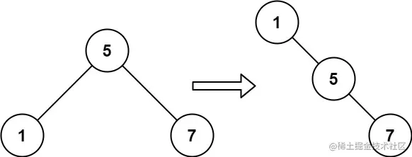
输入: root = [5,1,7]
输出: [1,null,5,null,7]

提示:

  • 树中节点数的取值范围是 [1, 100]
  • 0 <= Node.val <= 1000

注意:本题与主站 897 题相同: leetcode-cn.com/problems/in…

2、解法1-DFS+改变指针

深度遍历所有节点,在递归左子节点后构造新的二叉树,newRoot用于记录新树的根节点,若newRoot为空则赋值为当前节点,lastNode用于记录新树的最后一个节点,若lastNode有值则将其右子节点置为当前节点,然后将lastNode置为当前节点,当前节点的左子节点置为空,最后返回newRoot

3、代码

var increasingBST = function (root) {
    let newRoot = null, lastNode = null;
    function dfs(node) {
        if (!node) return;
        dfs(node.left);
        if (!newRoot) newRoot = node;
        if (lastNode) lastNode.right = node;
        lastNode = node;
        node.left = null;
        dfs(node.right);
    }
    dfs(root);

    return newRoot;
};

4、执行结果

1.png

5、解法2-DFS+数组

深度遍历将节点按中序存入数组中,结束后对节点数组进行遍历,将当前节点的左子节点置空右子节点置为下一个数组元素,最后返回数组首个元素。

6、代码

var increasingBST = function (root) {
    const arr = [];
    function dfs(node) {
        if (!node) return;
        dfs(node.left);
        arr.push(node);
        dfs(node.right);
    }
    dfs(root);

    for (let i = 0; i < arr.length; i++) {
        arr[i].left = null;
        arr[i].right = arr[i + 1] || null;
    }

    return arr[0];
};

7、执行结果

执行用时: 68 ms 内存消耗: 39.2 MB


原题链接:leetcode-cn.com/problems/NY…