[路飞] 11——leetcode-[82] 删除排序链表中的重复元素 II

192 阅读1分钟

82. 删除排序链表中的重复元素 II

存在一个按升序排列的链表,给你这个链表的头节点 head ,请你删除链表中所有存在数字重复情况的节点,只保留原始链表中 没有重复出现 的数字。

返回同样按升序排列的结果链表。

示例 1:

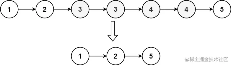
输入: head = [1,2,3,3,4,4,5]
输出: [1,2,5]

示例 2:

输入: head = [1,1,1,2,3]
输出: [2,3]

提示:

  • 链表中节点数目在范围 [0, 300] 内
  • -100 <= Node.val <= 100
  • 题目数据保证链表已经按升序排列

代码实现

/*
 * @lc app=leetcode.cn id=82 lang=javascript
 *
 * [82] 删除排序链表中的重复元素 II
 */

// @lc code=start
/**
 * Definition for singly-linked list.
 * function ListNode(val, next) {
 *     this.val = (val===undefined ? 0 : val)
 *     this.next = (next===undefined ? null : next)
 * }
 */
/**
 * @param {ListNode} head
 * @return {ListNode}
 */
var deleteDuplicates = function(head) {
  if (!head) return null;
  let ret = new ListNode(-1, head), pre = ret, cur = head;
  while (cur && cur.next) {
    if (pre.next.val !== cur.next.val) {
      cur = cur.next;
      pre = pre.next;
    } else {
      while (cur && cur.next && pre.next.val === cur.next.val) {
        cur = cur.next;
      }
      pre.next = cur.next;
      cur = cur.next;
    }
  }
  return ret.next;
};
// @lc code=end