[路飞] 08——leetcode-[24] 两两交换链表中的节点

133 阅读1分钟

24. 两两交换链表中的节点

给你一个链表,两两交换其中相邻的节点,并返回交换后链表的头节点。你必须在不修改节点内部的值的情况下完成本题(即,只能进行节点交换)。

示例 1:

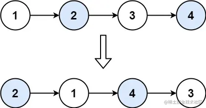
输入: head = [1,2,3,4]
输出: [2,1,4,3]

示例 2:

输入: head = []
输出: []

示例 3:

输入: head = [1]
输出: [1]

提示:

  • 链表中节点的数目在范围 [0, 100] 内
  • 0 <= Node.val <= 100

代码实现

/*
 * @lc app=leetcode.cn id=24 lang=javascript
 *
 * [24] 两两交换链表中的节点
 */

// @lc code=start
/**
 * Definition for singly-linked list.
 * function ListNode(val, next) {
 *     this.val = (val===undefined ? 0 : val)
 *     this.next = (next===undefined ? null : next)
 * }
 */
/**
 * @param {ListNode} head
 * @return {ListNode}
 */
var swapPairs = function (head) {
  // 判断head是否为空
  if (!head) return null
  // 将相邻的两个链表进行反转
  let ret = new ListNode(-1, head), temp = ret;
  while (temp.next && temp.next.next) {
    let pre = temp.next, cur = temp.next.next;
    // pre.next = cur.next;
    // cur.next = pre;
    // temp.next = cur;
    // temp = pre;
    [pre.next, cur.next, temp.next, temp] = [cur.next, pre, cur, pre];
  }
  // 然后返回链表
  return ret.next;
};
// @lc code=end