[路飞] 09——leetcode-[19] 删除链表的倒数第 N 个结点

244 阅读1分钟

19. 删除链表的倒数第 N 个结点

给你一个链表,删除链表的倒数第 n **个结点,并且返回链表的头结点。

示例 1:

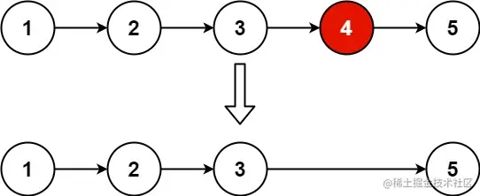
输入: head = [1,2,3,4,5], n = 2
输出: [1,2,3,5]

示例 2:

输入: head = [1], n = 1
输出: []

示例 3:

输入: head = [1,2], n = 1
输出: [1]

提示:

  • 链表中结点的数目为 sz
  • 1 <= sz <= 30
  • 0 <= Node.val <= 100
  • 1 <= n <= sz

代码实现

/*
 * @lc app=leetcode.cn id=19 lang=javascript
 *
 * [19] 删除链表的倒数第 N 个结点
 */

// @lc code=start
/**
 * Definition for singly-linked list.
 * function ListNode(val, next) {
 *     this.val = (val===undefined ? 0 : val)
 *     this.next = (next===undefined ? null : next)
 * }
 */
/**
 * @param {ListNode} head
 * @param {number} n
 * @return {ListNode}
 */
var removeNthFromEnd = function(head, n) {
  // head是否为空
  if (!head) return null;
  // 创建一个虚头,创建两个指针,一个指向虚头pre,一个指向真实头结点cur
  let ret = new ListNode(-1, head), pre = ret, cur = head;
  // 让cur移动K步
  for (let i = 0; i < n; i++) {
    cur = cur.next;
  }
  if (!cur) return head.next;
  // 然后让两个指针一起移动,直到cur指向空
  while (cur) cur = cur.next, pre = pre.next;
  // 然后进行删除操作
  pre.next = pre.next.next;
  return ret.next;
};
// @lc code=end