[路飞] 10——leetcode-[83] 删除排序链表中的重复元素

137 阅读1分钟

83. 删除排序链表中的重复元素

存在一个按升序排列的链表,给你这个链表的头节点 head ,请你删除所有重复的元素,使每个元素 只出现一次 。

返回同样按升序排列的结果链表。

示例 1:

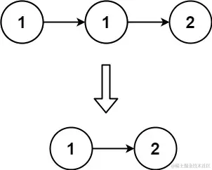
输入: head = [1,1,2]
输出: [1,2]

示例 2:

输入: head = [1,1,2,3,3]
输出: [1,2,3]

提示:

  • 链表中节点数目在范围 [0, 300] 内
  • -100 <= Node.val <= 100
  • 题目数据保证链表已经按升序排列 代码实现
/*
 * @lc app=leetcode.cn id=83 lang=javascript
 *
 * [83] 删除排序链表中的重复元素
 */

// @lc code=start
/**
 * Definition for singly-linked list.
 * function ListNode(val, next) {
 *     this.val = (val===undefined ? 0 : val)
 *     this.next = (next===undefined ? null : next)
 * }
 */
/**
 * @param {ListNode} head
 * @return {ListNode}
 */
var deleteDuplicates = function(head) {
  if (!head) return null;
  let pre = head, cur = head.next;
  while (cur) {
    if (pre.val != cur.val) {
      pre.next = cur;
      pre = cur;
      cur = cur.next;
    } else {
      cur = cur.next;
    }
  }
  pre.next = null; 
  return head;
};
// @lc code=end