[路飞][LeetCode]101_对称二叉树

111 阅读1分钟

看一百遍美女,美女也不一定是你的。但你刷一百遍算法,知识就是你的了~~

谁能九层台,不用累土起!

题目地址

题目

给你一个二叉树的根节点 root , 检查它是否轴对称。

示例 1:

输入: root = [1,2,2,3,4,4,3]
输出: true

示例 2:

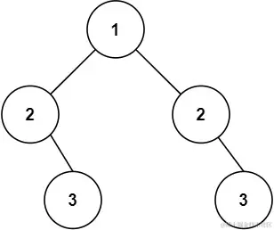
输入: root = [1,2,2,null,3,null,3]
输出: false

提示:

  • 树中节点数目在范围 [1, 1000] 内
  • -100 <= Node.val <= 100

解题思路

  • 我们采用递归
  • 判断如果两个节点都为空,那么对称
  • 只有一个节点为空,不对称
  • 我们毕竟左子树的右节点和右子树的左节点,同时比较左子树的左节点和右子树的右节点

解题代码

var isSymmetric = function(root) {
    const check = (l,r)=>{
        if(!l&&!r) return true
        if(l&&!r||!l&&r) return false
        return l.val==r.val&&check(l.left,r.right)&&check(l.right,r.left)
    }
    return check(root,root)
};

如有任何问题或建议,欢迎留言讨论!