[路飞]_leetcode 1305. 两棵二叉搜索树中的所有元素

130 阅读1分钟

题目来源:leetcode 1305. 两棵二叉搜索树中的所有元素

给你 root1 和 root2 这两棵二叉搜索树。

请你返回一个列表,其中包含 两棵树 中的所有整数并按 升序 排序。.

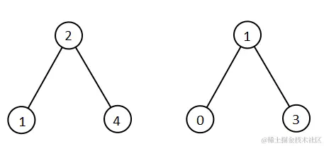
示例 1:

image.png

输入:root1 = [2,1,4], root2 = [1,0,3] 输出:[0,1,1,2,3,4]

示例 2:

输入:root1 = [0,-10,10], root2 = [5,1,7,0,2] 输出:[-10,0,0,1,2,5,7,10]

示例 3:

输入:root1 = [], root2 = [5,1,7,0,2] 输出:[0,1,2,5,7]

示例 4:

输入:root1 = [0,-10,10], root2 = [] 输出:[-10,0,10]

示例 5:

image.png

输入:root1 = [1,null,8], root2 = [8,1] 输出:[1,1,8,8]  

提示:

每棵树最多有 5000 个节点。 每个节点的值在 [-10^5, 10^5] 之间。

代码实现

/**
 * Definition for a binary tree node.
 * function TreeNode(val, left, right) {
 *     this.val = (val===undefined ? 0 : val)
 *     this.left = (left===undefined ? null : left)
 *     this.right = (right===undefined ? null : right)
 * }
 */
/**
 * @param {TreeNode} root1
 * @param {TreeNode} root2
 * @return {number[]}
 */
var getAllElements = function(root1, root2) {
    let result = []
    const traversal = (node) => {
        if(!node) {
            return
        }
        result.push(node.val)
        traversal(node.left)
        traversal(node.right)
    }
    traversal(root1)
    traversal(root2)
    return result.sort((a, b) => { return a - b})
};