二叉树的前序遍历

92 阅读1分钟

二叉树的前序遍历

给你二叉树的根节点 root ,返回它节点值的 前序 遍历。

 

示例 1:

plum.jpg

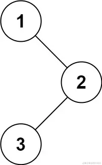
输入:root = [1,null,2,3]
输出:[1,2,3]

示例 2:

输入:root = []
输出:[]

示例 3:

输入:root = [1]
输出:[1]

示例 4:

plum.jpg

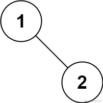
输入:root = [1,2]
输出:[1,2]

示例 5:

plum.jpg

输入:root = [1,null,2]
输出:[1,2]

 

提示:

  • 树中节点数目在范围 [0, 100] 内
  • -100 <= Node.val <= 100

来源:力扣(LeetCode) 链接:leetcode-cn.com/problems/bi… 著作权归领扣网络所有。商业转载请联系官方授权,非商业转载请注明出处。

思路

前序遍历:根-左-右

当传入的root有值时,push进数组中,再判断是否有左子树,是否有右子树,然后进行迭代

代码

var preorderTraversal = function (root) {
    //  判断传入的二叉树是否为null
    if (!root) return [];
    // 定义一个数组,储存二叉树的前序遍历结果
    let track = [];
    return trav(root, track);
};

// 函数意义:前序遍历root树,把root树的遍历结果push进track中
function trav(root, track) {
    // 当传入的二叉树节点有值,push进数组中(边界条件)
    if (root) track.push(root.val);
    // 当有左子树,左子树进行前序遍历
    if (root.left) trav(root.left, track);
    // 当有右子树,右子树进行前序遍历
    if (root.right) trav(root.right, track);
    // 返回遍历结果
    return track;
}